Pipe Table Schedule Pdf Trying to find a way to remain organized? Free printable schedules are the ideal service! Whether you need a daily, weekly, or monthly planner, these templates assist you simplify tasks, handle your time, and boost efficiency. Created for versatility, they're ideal for work, school, or home usage. Simply download, print, and start planning your days with ease.
With adjustable options, free printable schedules let you customize your strategies to fit your special needs. From vibrant designs to minimalist designs, there's something for everybody. They're not just practical but also an affordable way to keep an eye on consultations, deadlines, and goals. Get started today and experience the distinction an efficient schedule can make!
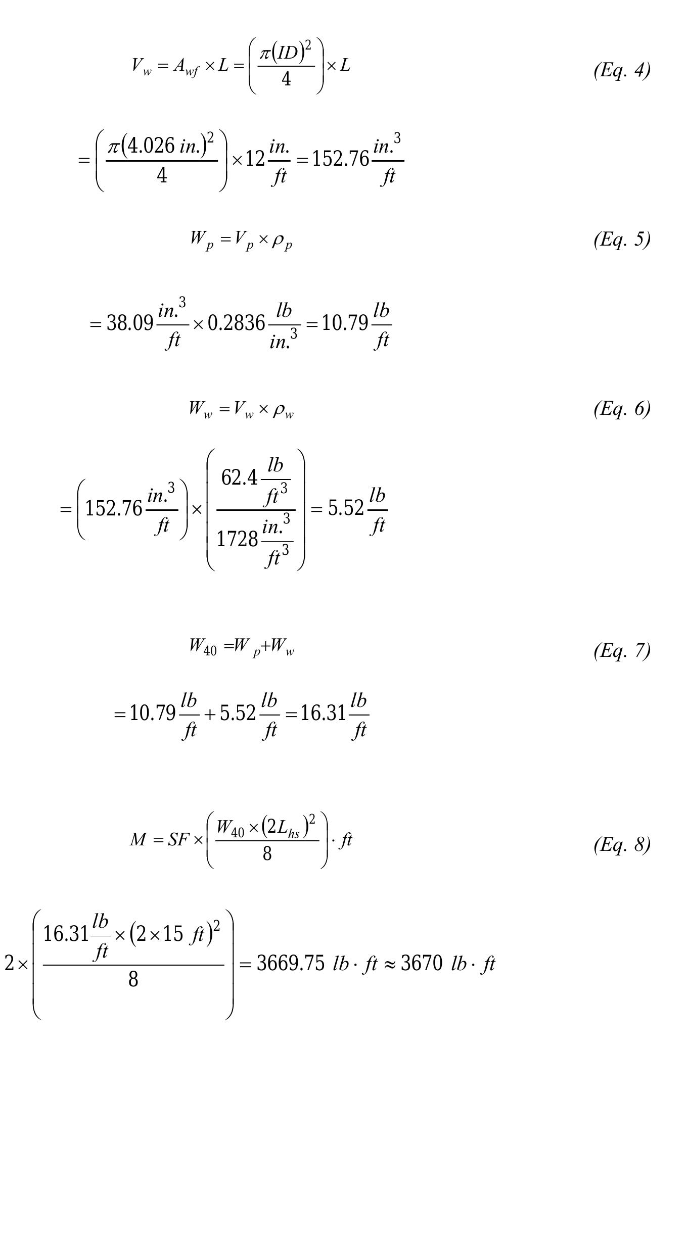
Pipe Table Schedule Pdf

Pipe Table Schedule Pdf
Customizable Concert Ticket Template Editable Event Tickets on Canva Unique Printable Gift Idea for Music Lovers Instant Download 32 6 00 Template.net's Free Printable Concert Tickets. Choose Online from Different Template Designs with Ticket Numbers, Event Locations, Event Times and Dates.
132 Free Templates for Concert ticket PosterMyWall

Table 7 Approval Standard For Pipe Couplings And Fittings
Pipe Table Schedule PdfCustomize a free editable ticket template for movies, concerts, shows and events with Edit.org's designs ready to download. Choose from dozens of online concert ticket template ideas from Adobe Express to help you easily create your own free concert ticket
Create free printable tickets online in minutes. Choose from thousands of professionally-made ticket designs that are easy to customize, edit, and print. Xxh Pipe Schedule At Gary Delariva Blog Hoe Het Gewicht Van Stalen Buizen Te Berekenen Toonaangevende
FREE Concert Ticket Templates Examples Edit Online Download

Pipe Sizes And Pipe Schedule Piping Techniques Facebook
These free printable concert tickets are perfect for any local events you are organizing that are ticketed All of the text can be personalized Comprehensive Pipe Schedule Chart Released Streamlining Industrial
Browse through these printable fully customizable ticket templates to promote and drive attendance for your next event Free to edit online Pipe Schedule Thickness Chart Pipe Fittings Dimension 49 OFF Pipe Schedule Guides

Pipe Dimensions Chart In Mm Design Talk
Pipe Schedule Table ASME ANSI B36 10M Arcelor Mittal pdf
Nominal Pipe Sizes Schedule Tabla 1 API 574 PDF
Pipestock

Nominal Pipe Thickness Chart

Ansi Pipe Size Chart Design Talk

Steel Plate Weight Chart Pdf Hot Rolled ASTM A240 TYPE 321 Plate At

Comprehensive Pipe Schedule Chart Released Streamlining Industrial

CROWD MANAGEMENT Maritime Institute
PIPE SCHEDULE CHART pdf lectrom nager G nie Chimique