Centre And Radius Of Circle X 2 Y 2 6x 4y 3 0 Looking for a way to stay arranged? Free printable schedules are the perfect option! Whether you require a daily, weekly, or monthly planner, these templates help you improve jobs, manage your time, and boost productivity. Designed for versatility, they're perfect for work, school, or home use. Merely download, print, and start planning your days with ease.
With personalized options, free printable schedules let you tailor your strategies to fit your unique needs. From vibrant designs to minimalist designs, there's something for everybody. They're not just practical but also a budget-friendly method to track appointments, deadlines, and goals. Get started today and experience the distinction a well-organized schedule can make!
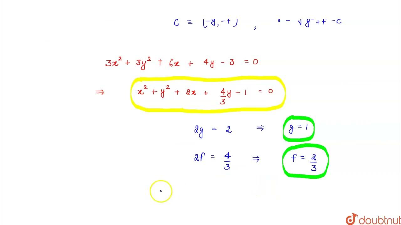
Centre And Radius Of Circle X 2 Y 2 6x 4y 3 0
Centre And Radius Of Circle X 2 Y 2 6x 4y 3 0
Breast Pump Flange Sizing Guide Click here to print our flange size guide Bodily Flange Size Guide Find the Right Size There's a free flange size ruler that you can use! Simply print out and easily find the right fit.
Breast Pump Flange Sizing Guide Babylist

Find The Co ordinates Of The Centre And Radius Of The Circle 3x 2
Centre And Radius Of Circle X 2 Y 2 6x 4y 3 0Flange Size Chart ... You can use a measuring tape, silicone nipple measuring tool, or this printable measuring ruler to determine the diameter of your nipple. Print this sheet at 100 scale for accuracy Cut along the dotted lines to measure your nipple diameter Be sure to measure BEFORE pumping Your flange size
Not sure what flange size to use? Use our Printable Ruler! Enter your email address to receive our complimentary printable nipple ruler. 20 Parts Of Circle Diagram HelemHearton Example 2 Find Equation Circle Centre 3 2 Radius 4
Free Flange Size Ruler Free Printable Milkology
Solved Graph The Circle Whose Equation Is X 2 y 2 6x 4y 3 0 Math
Flange Sizing Guide Print this sheet at 100 custom scale for accuracy Cut along the blue dotted lines to measure your nipple Where to Measure Your flange How To Find The Radius Of A Circle KaleytaroMatthews
Often a flange that is closest to the actual size of the nipple feels best and gets the most milk out Start by measuring the tip of each nipple left How To Graph A Circle Given A General Or Standard Equation Owlcation Cara Menentukan Hubungan Dua Lingkaran Dilengkapi Soal Latihan Dan

Radius Of Circle Formula Examples Meaning Definition

Finding Center Radius And Equation Of The Circle Shortcut Solutions

Finding The Equation Of A Circle Given The Center And Radius YouTube

Given The Radius And Center Find The Equation Of A Circle Youtube CF5

Find Center Radius Of Circle Draw Graph Find Domain And Range YouTube

Find The Centre And Radius Of The Circle X 2 Y 2 6x 4y 4 0

Example 3 Find Centre Radius Of Circle X2 Y2 8x Examples

How To Find The Radius Of A Circle KaleytaroMatthews

Find The Coordinates Of The Centre And Radius Of Each Of The Following
![]()
Given The Radius And Center Find The Equation Of A Circle Youtube CF5