8x 4 4x 3 16x 2 10x M Searching for a way to stay arranged? Free printable schedules are the best option! Whether you require a daily, weekly, or monthly planner, these templates help you enhance jobs, handle your time, and enhance efficiency. Developed for versatility, they're ideal for work, school, or home use. Merely download, print, and start preparing your days with ease.
With personalized alternatives, free printable schedules let you customize your plans to fit your distinct requirements. From colorful designs to minimalist designs, there's something for everybody. They're not just useful however likewise a budget-friendly method to keep track of appointments, deadlines, and objectives. Get started today and experience the difference a well-organized schedule can make!
8x 4 4x 3 16x 2 10x M

8x 4 4x 3 16x 2 10x M
Keep up with Alabama Crimson Tide Football in the 2024 season with our free printable schedules Includes regular season games Schedules print on 8 1 2 x 11 View the 2024 Alabama Football Schedule at FBSchedules.com. The Crimson Tide football schedule includes opponents, date, time, and TV.
2024 Alabama football schedule Dates times TV channels scores

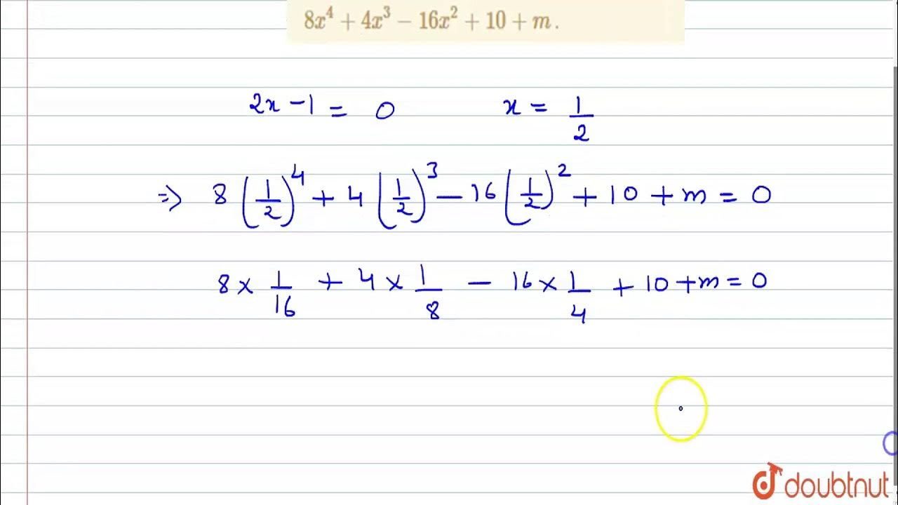
Find The Value Of M So That 2x 1 Be A Factor Of 8x 4 4x 3 16x 2
8x 4 4x 3 16x 2 10x MDownload our 2024 Alabama Crimson Tide football schedule and keep it on your smartphone for easy accessibility. 2024 Football Schedule Sep 28 Sat 6 30 p m CT Home Georgia Tuscaloosa Ala Oct 5 Sat 3 20 p m CT Away Vanderbilt Nashville Tenn
2024 schedule ; Saturday, Aug. 31, Alabama 63, Western Kentucky 0 ; Saturday, Sept. 7, Alabama 42, South Florida 16 ; Saturday, Sept. 14, Alabama 42, Wisconsin 10. x 1 P x 3x 4 4x 3 ax 2 A The Function F x 3x 4 4x 3 12x 2 7 Is
2024 Alabama Football Schedule FBSchedules

Subtract 4x 3 6x 3 8x 9 From 7x 3 16x 18 Brainly
Full Alabama Crimson Tide schedule for the 2024 season including dates opponents game time and game result information Roz Wielomian W Na Czynniki W x 4x 5 8x 4 4x 3 8x 2 x 2 Prosz O
ESPN has the full 2024 Alabama Crimson Tide Regular Season NCAAF schedule Includes game times TV listings and ticket information for all Crimson Tide Multiply 5x 2 3x 8x 2 4x Brainly 1 5x 3 3 3x 4 4 2x 9 3 0 2 X 4 6x 9x x 4 2 3 256rzrss

What Are The Solutions To 4x 3 16x 2 28x 0 Brainly

What Are The Solutions To 4x 3 16x 2 28x 0 Brainly

Solve Cubic Equation 4x 3 16x 2 9x 9 0 YouTube

Wielomian W x 4x 3 16x 2 12x Po Roz o eniu Na Czynniki Ma

Wyznacz Pierwiastki Wielomianu W x 4x 3 16x 2 13x 3 Brainly pl

Consider An Equation In 8x 4 16x 3 16x 2 8x A 0 Then The

Solve x 4 4x 2 8x 35 0 given That 2 isqrt 3 Is A Root Class 12

Roz Wielomian W Na Czynniki W x 4x 5 8x 4 4x 3 8x 2 x 2 Prosz O

How To Solve X 2 3x 4 0 By Factoring YouTube

Simplify 16x 3 8x 2 4x 4 2x A 8x 2 4x 2x 3 B 8x 2 4 2x