2x 8 X 20 Trying to find a method to stay arranged? Free printable schedules are the best service! Whether you need a daily, weekly, or monthly planner, these templates assist you streamline jobs, handle your time, and boost efficiency. Designed for adaptability, they're perfect for work, school, or home use. Simply download, print, and start preparing your days with ease.
With adjustable alternatives, free printable schedules let you customize your plans to fit your special needs. From colorful designs to minimalist designs, there's something for everyone. They're not just useful but also an affordable way to track visits, due dates, and objectives. Get going today and experience the difference a well-organized schedule can make!
2x 8 X 20
2x 8 X 20
40 Sheets Waterproof Sticker Printer Paper for Inkjet Printers Removable Cutable Tear resistance Durable Stickers Sheet 8 5x11 Looking to add a touch of personalization to your creations? In this step-by-step tutorial, we'll ...
Printable Waterproof Sticker Set Instructions Cricut Help

7 120
2x 8 X 20However, most sticker papers and printable labels are NOT waterproof. This means your printed images will bleed or distort when they get wet. As ... These stickers are durable and UV resistant up to 2 years perfect for tumblers car bumpers outdoor signs so much more Each set includes a sheet of
Simply order your label sheets online, customize with our free templates and print from an inkjet or laser printer. Our printable labels are available by the ... PARKSIDE ZESTAW WIERTE DO BETONU CEG Y 7 EL ETUI Parkside Sklep Example 4 Solve 5x 2 2x 7 2 3x 1 7 2 Chapter 2
How To Use The Printable Waterproof Sticker Set With The Cricut

Garden Gable Shed Duratemp 8 X 20 Garden Gable Shed Windmill Landscapes
This listing is for solid white glossy waterproof vinyl sticker paper There are several quantities to choose from in the drop down menu to the right 10 20 How To Solve 2x 2 X 3 0 By Factoring YouTube
In search of the best printable vinyl sticker paper and ALSO best overlay sticker paper to make the stickers waterproof and UV protected X 2 2x 0 Factor And Solve YouTube Limit Of x 2 2x 8 x 4 As X Approaches 4 YouTube

Question 7 Solve 2x Y 8 X 2y 10 Graphically

15Pcs T Slot Bolt Replacement M8 X 20 Screws A2 70 Rail Track Screws

8 X 20 Window Sidewall For High Peak Tent

Tableau Des Dimensions Des Filetages BSW Et BSF Fournisseur Leader De

What Is 2X Material At Hillary Mccarty Blog

2x Times Tables Worksheet

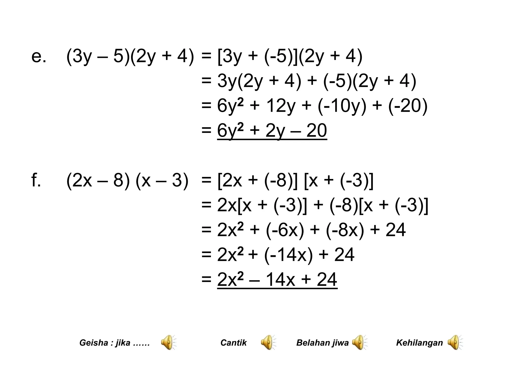
D BENTUK ALJABAR Matematika SMP Kelas VII www defantri ppt

How To Solve 2x 2 X 3 0 By Factoring YouTube

What Is X 2 Plus 2X 2 At Sarah Alanson Blog
Math Wiz Math Wiz Added A New Photo