2x 3 4x 2 96x Trying to find a method to stay organized? Free printable schedules are the perfect service! Whether you need a daily, weekly, or monthly planner, these templates assist you streamline jobs, manage your time, and boost productivity. Developed for versatility, they're ideal for work, school, or home usage. Just download, print, and start preparing your days with ease.
With adjustable alternatives, free printable schedules let you customize your plans to fit your unique needs. From colorful styles to minimalist designs, there's something for everyone. They're not only practical however also an economical way to keep an eye on visits, due dates, and objectives. Begin today and experience the difference an efficient schedule can make!
2x 3 4x 2 96x

2x 3 4x 2 96x
Buy Riverbend Music Center tickets at Ticketmaster Find Riverbend Music Center venue concert and event schedules venue information directions May 18: Brit FloydMay 22: 21 SavageMay 30: Walker HayesJune 7: Hootie & The BlowfishJune 8: Cole SwindellJune 14: Sarah McLachlan.
Riverbend Schedule Tickets in Cincinnati OH

Solve The Equation x 4 4x 3 5x 2 2x 2 0 One Root Being 1
2x 3 4x 2 96xSee the schedule below to see all the great performers coming to town this summer, and get your Riverbend Music Center 2024 Tickets today! Riverbend Music Center tickets and upcoming 2024 event schedule Find details for Riverbend Music Center in Cincinnati OH including venue info and seating
Find tickets for upcoming concerts at Riverbend Music Center in Cincinnati, OH. Get venue details, event schedules, fan reviews, and more at Bandsintown. Divide 4x 3 2x 2 4x 5 By X 2 X 1 And Verify The Division Algorithm Y 3 4x 2 2x 3 Graph The Curve And Both Tangents On A Common Quizlet
Riverbend s star studded 2024 summer concert calendar so far

A 7 3 2x 3 4x 2x 4x 6 B 4 3x 1 2x 1 2x 4x 6 C
See the 2025 Riverbend Music Center schedule and get tickets Great events are coming this summer Get Riverbend Music Center 2025 Tickets here Intelligent Servers On LinkedIn Cisco Nexus 9508 2x N9K SUP A 4x
Upcoming concerts at Riverbend Music Center Explore our comprehensive Cincinnati music calendar Accurate show listings local band profiles music news Pomo e Kto Z Tym Trzecimm Zadaniem Z Przyk adem E f Brainly pl Sederhanakan Pecahan Bentuk Aljabar Mohon Dibantu Yaa Brainly co id

1 5x 3 3 3x 4 4 2x 9 3 0 2 X 4 6x 9x x 4 2 3 256rzrss

4x 2y 8 Y 2 3 x Solve The System Of Equations Using Any

Divide x 3 4x 2 2x 5 x 2 Brainly ph

Prosze O Pomoc W Rozwi zaniu Brainly pl

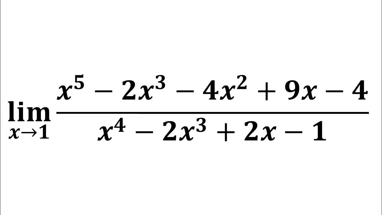
Limit Of x 5 2x 3 4x 2 9x 4 x 4 2x 3 2x 1 As X

Integral Of 2x 3 4x 5 YouTube

Example 8 Show F x X3 3x2 4x Is Strictly Increasing
Intelligent Servers On LinkedIn Cisco Nexus 9508 2x N9K SUP A 4x
4x 3 4x 2 7x 2 2 11 2 1 x 3 4 2 x
A Log 3 x log 3 4x 2 1 Log 3 x 4x 2 1 3