Y Log 1 X 2x 2 X Searching for a method to stay organized? Free printable schedules are the perfect option! Whether you need a daily, weekly, or monthly planner, these templates help you streamline jobs, manage your time, and boost productivity. Designed for adaptability, they're perfect for work, school, or home use. Simply download, print, and begin preparing your days with ease.
With adjustable alternatives, free printable schedules let you customize your plans to fit your distinct requirements. From vibrant designs to minimalist layouts, there's something for everyone. They're not just practical however also an economical method to keep track of consultations, deadlines, and objectives. Begin today and experience the difference a well-organized schedule can make!
Y Log 1 X 2x 2 X

Y Log 1 X 2x 2 X
View full calendar schedule plan my ride fares B Line get directions call us contact us 326 Huss Drive 125 Chico CA 95928 B Route ; 9:30 AM, 9:35 AM, 9:41 AM, 9:49 AM, 9:54 AM ; 10:00 AM, 10:05 AM, 10:11 AM, 10:19 AM, 10:24 AM ; 10:30 AM, 10:35 AM, 10:41 AM, 10:49 AM, 10:54 AM.
B Line Trolley Cleveland RideRTA

Y Log 1 x 2x 2 x X 1
Y Log 1 X 2x 2 XSchedulesDirectionService TypeCahill // NorthportEffective: Sunday, December 1Northport // CahillEffective: Sunday, December 1Cahill // Northport. Find out when where and how to get there Download The CCRTA System Map Download the system map to see routes stops and more
You can also use the automated bus schedule line, available 24-hours a day, at. 361.289.2600. For route schedules and times, see the route maps in this book. Find The Product 1 X 2x 2 X 4x 3 4xy 3xy 4 X 3x 5xy 5 Telugu If F x log 1 x 2x 2 x Is Increasing Then
B Route Town of Chapel Hill NC

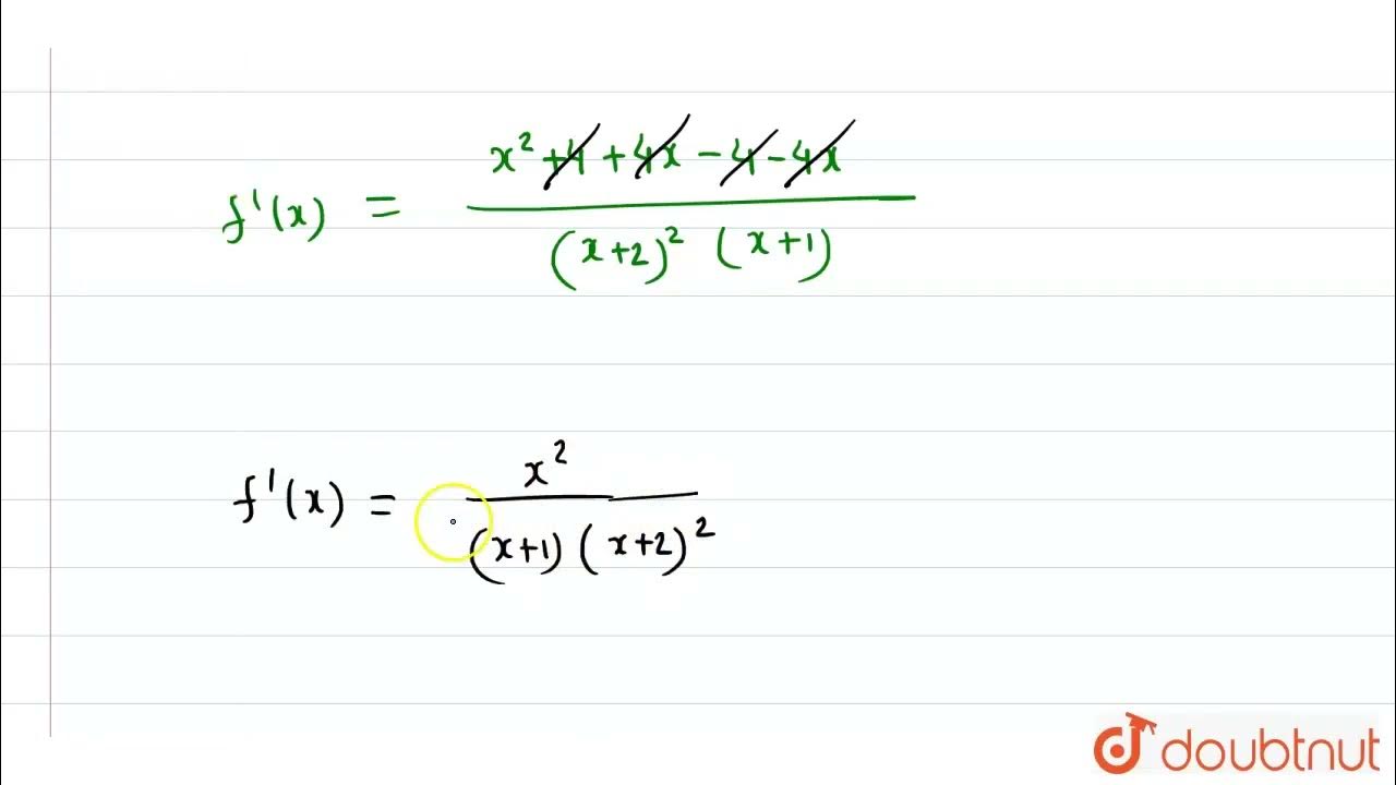
Show That Y log 1 x 2x 2 x Is An Increasing Function Of X Thro
CCRTA line schedules timetables itineraries service hours and departure and arrival times to stations are updated in the app in real time Facts about Derivative Of Log 2x Qleropulse
Maps Schedules When you need to get somewhere on The B start with your destination to find what routes will take you there Get Started Show That F x Log 1 x 2x 2 x Is An Increasing Function Learn To Find The Inverse Of The Straight Line F x 2x 1 Two

Show That Y log 1 x 2x 2 x X 1 Is An Increasing Function Of X

Y log 1 x 2x 2 x Xgt 1 X

Tamil Show That Y Log 1 x 2x 2 x X Gt 1 Is An Increasing

Log 1 X Lacemyaf

How To Graph Y 2x 5 YouTube

Ex 6 2 7 Show That Y Log 1 X 2x 2 X Is An Increasing Fn

Ex 6 2 7 Show That Y Log 1 X 2x 2 X Is An Increasing Fn

Derivative Of Log 2x Qleropulse

The Function Log 1 x 2x x 2 Is Increasing In The Interval

Y log 1 x 2 1 X 2 Find Dy dx 322767 Saesipapictg4r