Xy 1 Is Equation Of Looking for a method to stay arranged? Free printable schedules are the perfect service! Whether you need a daily, weekly, or monthly planner, these templates help you improve jobs, manage your time, and improve productivity. Created for adaptability, they're ideal for work, school, or home use. Merely download, print, and start planning your days with ease.
With customizable alternatives, free printable schedules let you customize your strategies to fit your distinct requirements. From colorful styles to minimalist designs, there's something for everybody. They're not only useful but also an affordable way to track consultations, deadlines, and goals. Get started today and experience the difference a well-organized schedule can make!
Xy 1 Is Equation Of

Xy 1 Is Equation Of
On this page you will find 30 all new Elsa coloring pages that are completely free to print and download Printable Frozen Coloring Page - Watercolor Preppy Elsa & Anna Princess, Grandmillenial - INSTANT DOWNLOAD, Print at Home
35 Printable Elsa Coloring Pages That Are Free and Fun for Kids

Series Solution Of Xy y 0 finding Four Terms YouTube
Xy 1 Is Equation OfFans of the Disney Frozen movies can color this Anna and Elsa Coloring Page from Frozen 1. Download & print free coloring pages! On this page you will find 30 Frozen coloring pages that are all free to download and print For this series I illustrated a wide range of drawings
All-original free printable Frozen coloring pages featuring images of Anna and Elsa from Disney's Frozen, Frozen 2 and Frozen Fever in pdf and png! How To Find A Parallel Line Through A Point Mathsathome Dichotomous Key Biology Simple
Printable Frozen Coloring Page Watercolor Preppy Elsa Anna

Partial Derivative Of F x Y Xy x 2 Y 2 With Quotient Rule YouTube
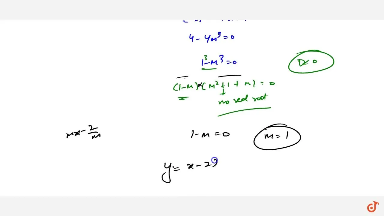
Discover Printable Frozen Coloring Pages all these pictures are free Frozen is a beloved Disney animated film that follows the journey of two sisters Elsa The Equation Of The Common Tangent To The Curve Y 2 8x And Xy 1 Is
Free Elsa Coloring Pages Printable Are you looking for Elsa coloring pages Then you re freezing right here Elsa is a beautiful princess from Frozen 27 Parallel Circuit Current Calculator HanifJeannie Find The Derivative Of Sin xy IMath

The Best Place To Start Dimension 20
![]()
Exponential Equation Problem Solving Vector Illustration

Photosynthesis Equation Illustration Stock Photo Alamy
Line Equation

Arrhenius Equation

Rectangular Hyperbola GeeksforGeeks
+F+%3D+Force+(N).jpg)
Torque Ppt Download

The Equation Of The Common Tangent To The Curve Y 2 8x And Xy 1 Is

Quadratic Function Equation Examples

Logistic Growth Graph