X 4 2x 3 Y 2xy 3 Y 4 Trying to find a way to remain arranged? Free printable schedules are the ideal service! Whether you require a daily, weekly, or monthly planner, these templates assist you streamline tasks, handle your time, and improve performance. Developed for versatility, they're ideal for work, school, or home use. Simply download, print, and begin planning your days with ease.
With adjustable choices, free printable schedules let you tailor your plans to fit your unique needs. From vibrant designs to minimalist designs, there's something for everybody. They're not just practical but also a budget-friendly way to track consultations, due dates, and objectives. Get started today and experience the difference an efficient schedule can make!
X 4 2x 3 Y 2xy 3 Y 4

X 4 2x 3 Y 2xy 3 Y 4
Find and download our gorgeous free printable cards for every occasion We offer high quality PDFs for you to print and give to your friends and family Make free greeting cards online with Creatacard™, our easy-to-use card maker. Browse free card templates, personalize in minutes, then print or send online.
Free Greeting Cards Printable or Send Online American Greetings

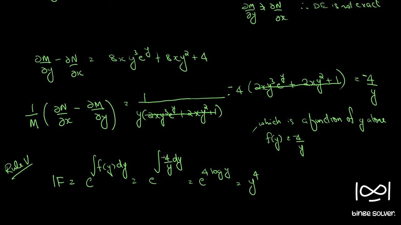
Exact Differential Equation 1 1 y 2 Cos x 2xy dy dx Y y sin
X 4 2x 3 Y 2xy 3 Y 4Printable Cards is a free service to help users create beautiful cards for all occasions absolutely free of cost. Register for more features. © ... Create design greeting cards to print or send online as eCards Choose from thousands of templates for every event birthday thank you wedding
Free printable cards for wedding planning. Print yourself on 4-1/4″ x 5-1/2″ note cards (8315) for inkjet printers or for laser printers (5689). Graphing Inequalities Beginning Algebra 25 Y xy 2x 2y 2 dx X xy x 2y 2 dy 0 651442 X 2 Y 2 Dx 2xy Dy
Free Greeting Card Maker Printable or Send Online Blue Mountain

2xy 4e y 2xy 3 y dx x 2y 4e y x 2y 2 3x dy 0 NonExact L616
The free online card maker from Adobe Express helps you easily make your own printable greeting cards with photos for all types of life events Solve y 2 E xy 2 4x 3 dx 2xy E xy 2 3y 2 dy 0 Yawin
Brother Creative Center offers free printable greeting card and invitation templates for all your needs Create unique designs with custom templates Q 1 2xy Sin X dx x Cos Y dy 0 Q 2 1 2x Y2 Dx 2y X2 Y2dy Draw The Graph Of The Pair Of Equations 2x Y 4 And 2x Y 4

Gi i H x 1 y 1 x 2 y 1 1 2 x 2 y x 2xy 3 C u H i

1 5x 3 3 3x 4 4 2x 9 3 0 2 X 4 6x 9x x 4 2 3 256rzrss

Ne Possible Factoring Methods24y Can Be Factored Byfactor Of Y x y

1 2X Y 2 10x5 Y 0 2xy 3 5y5 z 4 X y 0 x 5 X 2xy 5 2

Q 1 2xy Sin X dx x Cos Y dy 0 Q 2 1 2x Y2 Dx 2y X2 Y2dy

Q220 Solve 2xy 4e y 2xy 3 Y dx x 2y 4e y X 2y 2 3x dy 0

SOLVED Use Implicit Differentiation To Find An Equation Of The Tangent

Solve y 2 E xy 2 4x 3 dx 2xy E xy 2 3y 2 dy 0 Yawin
Solved Dy dx 1 2x Ln X Y 2xy 3 Chegg

SOLVED Solve The Given Initial value Problem The DE Is A Bernoulli