X 4 2x 3 21x 2 22x 40 Trying to find a method to remain arranged? Free printable schedules are the best service! Whether you need a daily, weekly, or monthly planner, these templates help you improve tasks, handle your time, and enhance productivity. Developed for adaptability, they're ideal for work, school, or home use. Just download, print, and start preparing your days with ease.
With customizable alternatives, free printable schedules let you tailor your plans to fit your unique needs. From colorful designs to minimalist designs, there's something for everybody. They're not just useful however likewise a budget-friendly method to track consultations, due dates, and goals. Get going today and experience the difference an efficient schedule can make!
X 4 2x 3 21x 2 22x 40

X 4 2x 3 21x 2 22x 40
Best CHRISTMAS TRIVIA QUESTIONS PRINTABLES bundle with best selling themes for kids movies songs music multiple choice more What does Ralphie want for Christmas in the movie A Christmas Story? 7. Where does the Grinch live? 8. Where did the McCallister family go on vacation when they ...
Free Christmas Trivia Printables Games for the Family Lil Luna

If The Roots Of X 4 2x 3 21x 2 22x 40 0 Are In A P
X 4 2x 3 21x 2 22x 40These free Christmas trivia printables are super easy to print and enjoy. Simply download and print the activity sheets for hours of fun! Here are the Christmas trivia questions in printable format The answers are on a separate sheet making these convenient to use at a holiday gathering
... free Christmas Trivia Questions and Christmas Trivia Board here ... printable, game, gospel presentation, guessing game, indoor, john 3:16 ... 2x 3 Divided By 2x 4 9x 3 21x 2 26x 12 Brainly in Find The Roots Of Equation X 4 2x 3 21x 2 22x 40 0 If They Are In A p
Christmas Trivia Games printable v2

Prove That The Functionf x 2x 3 21x 2 36x 40 Is Strictly
Our free printable Christmas trivia game includes questions about famous Christmas carols festive traditions Christmas folklore and holiday movies for the X 2 9x 20 0 21x 2 2x 3 0 3x 1 9x 2 3x 1 9x 2
These printable Christmas trivia questions are great for both kinds of people with easy questions medium difficulty questions and more challenging ones Factorizar Por Completo Descubre C mo Resolverlo En QANDA 21x 2 2x 1 21 0 Factorise Brainly in

How To Solve X 2 3x 2 0 By Factoring YouTube

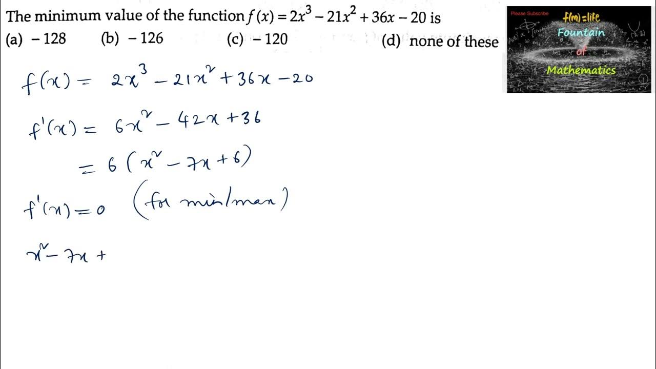
The Minimum Value Of The Function F x 2x 3 21x 2 36x 20 RD Sharma 12

3x 3 2x 2 21x 20 shorts YouTube

Factorise Fully X 3 3x 2 9x 27 And 3x 2 13x 10 YouTube

If F 2x 1 3x 2 3x 2 Find F x YouTube

Solve Cubic Equation 20x 3 21x 2 35x 6 0 YouTube

C 2x 3 21x 2 67x Descubre C mo Resolverlo En QANDA

X 2 9x 20 0 21x 2 2x 3 0 3x 1 9x 2 3x 1 9x 2

FACTORISE 8x 3 36x 2 22x 21 Brainly in

X 22x 23x 40 x 5 Ayudasaaaaaaaaa Brainly lat