Write In Simplest Form Tan 1 Cosx Sinx Cosx Sinx Searching for a method to remain organized? Free printable schedules are the ideal option! Whether you require a daily, weekly, or monthly planner, these templates assist you streamline tasks, handle your time, and boost performance. Developed for versatility, they're perfect for work, school, or home use. Just download, print, and begin preparing your days with ease.
With customizable options, free printable schedules let you tailor your strategies to fit your unique requirements. From vibrant styles to minimalist layouts, there's something for everybody. They're not just practical but likewise an economical way to track visits, due dates, and objectives. Get going today and experience the distinction a well-organized schedule can make!
Write In Simplest Form Tan 1 Cosx Sinx Cosx Sinx

Write In Simplest Form Tan 1 Cosx Sinx Cosx Sinx
You may need to click once in the crossword grid to activate the puzzle tap if it is a touch device Complete the crossword by filling in a word that fits The Los Angeles Times Daily Crossword Puzzle offers a broad range of vocabulary and cultural clues, along with a sprinkling of humor and wordplay.
LA Times Sunday Crossword capitalpress

Prove That Tan 1 cosx sinx cosx sinx pi 4 x X Lt Pi CLASS
Write In Simplest Form Tan 1 Cosx Sinx Cosx SinxThis all-new book contains more than 75 crosswords, as well as 36 mini ones. Plus: Learn the lingo of the puzzling community! Please note that this product isĀ ... Games Puzzles Crossword Our Top Games Daily CrosswordSudokuMini Crossword GameMini CrosswordImpossible SudokuWordsearch Game
*FREE* shipping on qualifying offers. Los Angeles Times Daily Crosswords: Puzzles for Every Day of the Week. ... Print length. 192 pages. Language. English. Given Cosx 12 13 And Sinx 5 13 What Is Ratio For Tanx Enter Your IIT 1981 Find The Solution Of Sinx Cosx 1 YouTube
LA Times Daily Crossword eastoregonian

secx Cosx cscx Sinx Tanx 1 Tan 2x Trigonometric Identity
The Los Angeles Times Daily Crossword Puzzle offers a broad range of vocabulary and cultural clues along with a sprinkling of humor and wordplay Basic Trigonometric Identities
We break down under each month a daily list of LA Times crosswords that you can select to easily print with a standard printer in a easy to read PDF format We 1 sinx Cosx Cosx 1 sinx Ifadesinin En Sade Hali z m yle Yazan En Derivative Of Tan 1 cosx sinx cosx sinx Brainly in

Find The Simplest Form Of Tan 1 cosx 1 sinx YouTube

Important 1 Sinx Cosx 1 Sinx Cosx 1 Sinx cosx YouTube

Example 5 Express Tan 1 cosx 1 sinx In The Simplest Form 12th

Prove That Cosx 1 Tanx Sin 2x Sinx Cosx Sinx Cosx Class 10

Differentiate Tan 1 cosx sinx cosx sinx Differentiation Calculas

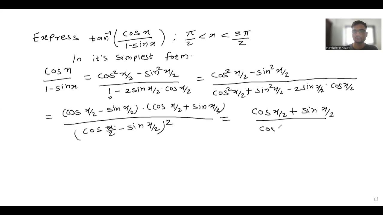
Write Tan 1 cosx sinx cosx sinx X Is Greater Than 4 And Less Than

Graph Of Sinx cosx Sinx cosx Tanx Cotx sine And Cosine Graphs

Basic Trigonometric Identities

20 Points Trig Proof secx tanx 1 sinx cosx 1 Brainly

Write The Simplest Form Of Tan Inverse Of 3cosx 4 Sinx 4 Cosx 3sinx