Why Partial Differentiation Is Used Searching for a method to remain arranged? Free printable schedules are the ideal service! Whether you need a daily, weekly, or monthly planner, these templates assist you enhance jobs, handle your time, and increase productivity. Created for versatility, they're ideal for work, school, or home use. Just download, print, and start planning your days with ease.
With customizable alternatives, free printable schedules let you customize your plans to fit your distinct needs. From colorful styles to minimalist designs, there's something for everyone. They're not just practical but likewise a budget-friendly way to keep an eye on consultations, deadlines, and goals. Begin today and experience the difference an efficient schedule can make!
Why Partial Differentiation Is Used

Why Partial Differentiation Is Used
Just click print A new hard sudoku every minute Choose your level and print your sudoku you can create you own sudoku book up to 12 pages Play unlimited sudoku puzzles online. Five very difficult levels from Evil to Extreme. Each puzzle has a unique solution and can be solved with pure logic.
Print Free Sudoku Sudoku Printable from easy to the most difficult

Partial Differentiation Questions Partial Differentiation Problems
Why Partial Differentiation Is UsedMore very difficult sudokus. To play online or print a puzzle, click on its image. The sudokus in this page are rated "Very Difficult" ( very difficult ). Creation of six sudokus per A4 page Choose your difficulty level and number of pages Page size Difficulty Number of pages A4 Letter Easy Moderate Hard
Free printable sudoku puzzles in a variety of sizes, including 4x4, 6x6, and difficulty levels, from easy to hard. For kids and with large print for adults. Partial Derivatives Multivariable Calculus YouTube Partial Derivative From Wolfram MathWorld
Extreme Sudoku Hard and Difficult Printable Sudoku Puzzles and

Differentiation Formulas Explained With Examples Calculus Basics
Below there are sudoku puzzles for all levels easy medium hard and extra hard so both kids and adults will find something to work on Q2 M136 Math Calculus Derivatives And Differentiation Absolute
Sudoku puzzles to print and solve Two per page Three levels of difficulty easy medium hard Page Name Date Points My Points 82 Notes 8 1 2 Notes Ppt Download Basic Differential Rules

Differentiation Finding Dy dx From Dx dy Example 1 ExamSolutions

Differentiation All Formulas For Exam 2023 Differentiation Class 12

2 Second Order Partial Differentiation YouTube

Partial And Total Differentiation Of Multivariate Functions YouTube

Implicit Differentiation Explained Step By Step Calculus YouTube

Mathematical Symbols Used In Physics GCSE Physics 42 OFF

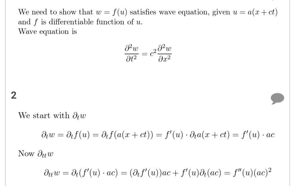
Partial Differentation Wave Equation Help Why Is The 2nd
![]()
Q2 M136 Math Calculus Derivatives And Differentiation Absolute

Implicit Differentiation w Examples And Worksheets

Partial Derivative Examples YouTube