The Transformed Equation Of X 3 6x 2 5x 8 0 Looking for a way to stay arranged? Free printable schedules are the perfect option! Whether you need a daily, weekly, or monthly planner, these templates help you improve tasks, manage your time, and improve efficiency. Designed for adaptability, they're perfect for work, school, or home use. Merely download, print, and start planning your days with ease.
With customizable choices, free printable schedules let you tailor your strategies to fit your special requirements. From colorful designs to minimalist designs, there's something for everybody. They're not just useful but also an economical method to keep an eye on consultations, due dates, and goals. Get started today and experience the difference a well-organized schedule can make!
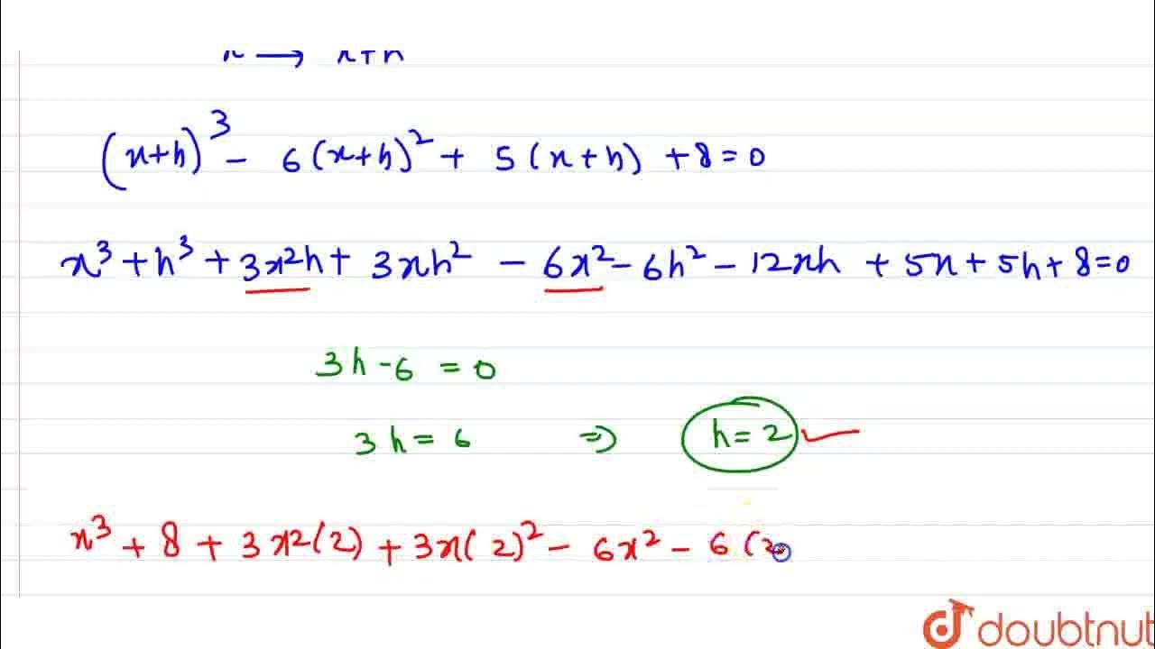
The Transformed Equation Of X 3 6x 2 5x 8 0
![]()
The Transformed Equation Of X 3 6x 2 5x 8 0
I rounded up 25 of my favorite free printable Christmas gift tags that add the perfect pretty finishing touch to your presents Free printable Christmas labels for presents are here! Tape them on or make them into stickers, label, and stick them right on your gifts.
34 Sets of Free Printable Christmas Gift Tags The Spruce Crafts

Ex 2 3 4 iii Factorise 6x 2 5x 6 with Video Teachoo
The Transformed Equation Of X 3 6x 2 5x 8 0I thought I'd create some super cute printable Christmas gift tags you can use on your gifts. I've also shown three different wrapping styles. Order printable Christmas labels or have them professionally printed by Avery WePrint Simply choose the label design you like above personalize it your way
Have the best Christmas presents under the tree with these free printable Christmas gift tags. So many Christmas gift tag designs to choose ... Show That 2x 3 is A Factor Of 2x 3 3x 2 5x 6 And Hence Factorise 2x Graphically The Pair Of Equations 6x 3y 10 0 2x Y 9 0
Free Printable Christmas Labels Pinterest

Find The Solutions Of The Quadratic Equation X2 6x 8 0 Brainly
With 400 tags to choose from you can effortlessly match the perfect tag to each wrapped present making your gift giving experience even more special Alpha And Beta Are Zeros Of The Quadratic Polynomial X2 6x y Find The
Simply choose the Christmas gift tag design you like above personalize it your way and then choose to print it yourself or let us print for you 1 5x 3 3 3x 4 4 2x 9 3 0 2 X 4 6x 9x x 4 2 3 256rzrss The Nature Of Roots Of The Quadratic Equation 9x 2 6x 2 0 Is

THe Value Of X Which Satisfy The Equation sqrt 5x 2 8x 3 sqrt 5x 2

Show That The Equation 2x 2 6x 3 0 Has Real Roots And Find These

How To Solve X 2 X 6 0 By Factoring YouTube

The Transformed Equation Of X 4 6x 2 5x 8 0 by Eliminating Second

X 3 6x 2 5x By x 2 By Long Division Method Brainly in

Which Graph Is Given By The Equation Y 6x 3 Brainly

Prove That x 2 3 In The Form Of Equation Brainly in

Alpha And Beta Are Zeros Of The Quadratic Polynomial X2 6x y Find The

If Are Zeroes Of Quadratic Polynomial 5x 2 5x 1 Find The Value Of

SOLVED Consider The Graph Of The Function F c Jog Match Each