Subcontractor Affidavit Under Ocga 13 10 91 B 3 Searching for a way to remain arranged? Free printable schedules are the best service! Whether you need a daily, weekly, or monthly planner, these templates assist you improve jobs, manage your time, and improve performance. Created for versatility, they're perfect for work, school, or home usage. Just download, print, and begin planning your days with ease.
With customizable options, free printable schedules let you customize your strategies to fit your special needs. From vibrant designs to minimalist designs, there's something for everyone. They're not just practical however also an economical method to track appointments, due dates, and goals. Get going today and experience the distinction an efficient schedule can make!
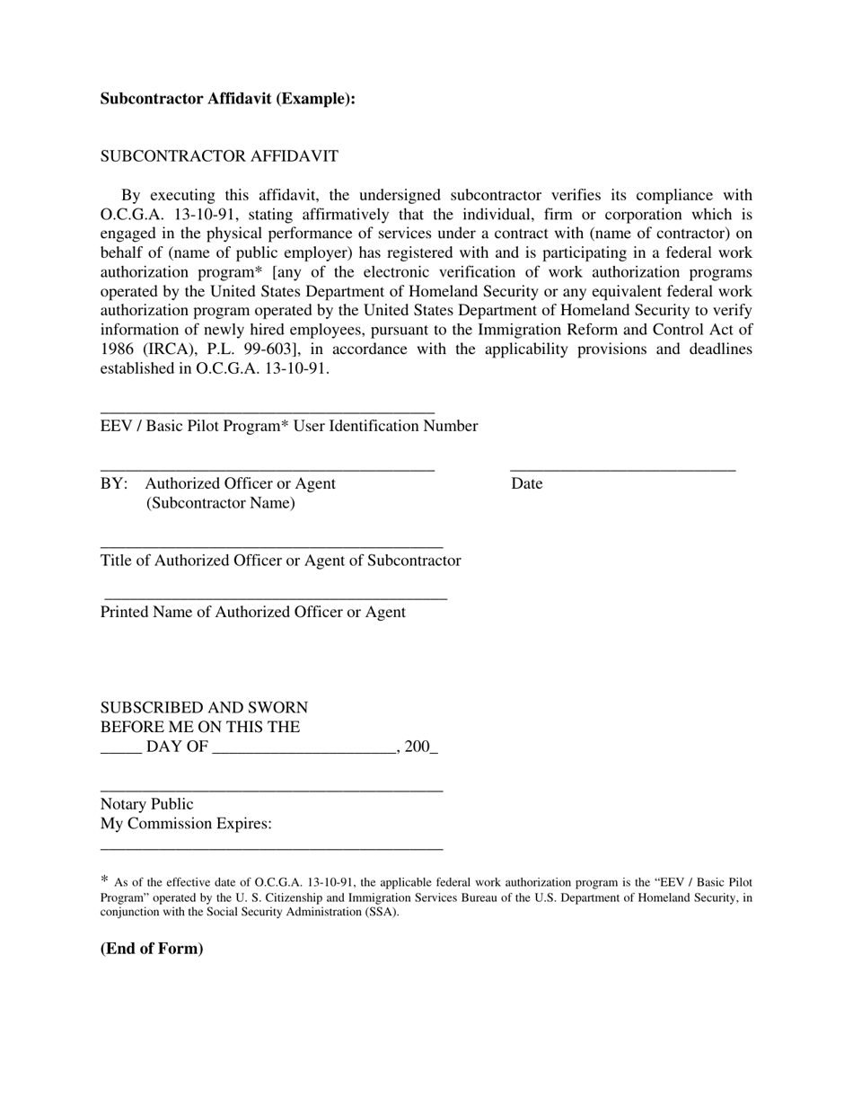
Subcontractor Affidavit Under Ocga 13 10 91 B 3
Subcontractor Affidavit Under Ocga 13 10 91 B 3
On this page you ll find a fabulous range of free printable teacher appreciation cards with lovely sayings like thanks for helping me grow and best teacher 15 adorable teacher appreciation printable PDF tags and worksheets that you can download for free to make your teacher gift memorable this year.
15 Free PDF Teacher Appreciation Printables Room Mom Rescue

Free Virginia Subcontractor Agreement PDF Word
Subcontractor Affidavit Under Ocga 13 10 91 B 320 cute and free teacher appreciation printables to add a personal touch to your children's teachers' gifts. Perfect for Teacher Appreciation Week. With over 35 different free teacher appreciation printables there is sure to be something that would work perfectly for your child s teacher
Looking for some teacher appreciation printables to use to say thank you to your special teachers? We have lots of great free ones right ... Discovery Motion Template E Verify Candler County School District
Gifts for Teachers Teacher Appreciation Gifts Pinterest

Residential Affidavit Template Prntbl concejomunicipaldechinu gov co
Show your child s teacher how much they mean to you both with these fun and easy printables Download and print the worksheets below Georgia United States Contractor Affidavit Under O c g a 13 10 91 B
This is a digital download for Teacher Appreciation day week It can be printed multiple times for students to fill out Use it for the Affidavit Of Alabama Immigration Compliance Subcontractor US Legal Fillable Online Fillable Online Contractor Affidavit Under O C G A 13

Construction Workmanship Warranty Letter With Notarial Writing Etsy

Open Records Request Carroll County OCGA 13 10 91 Updated With Follow

Montana Subcontractor Affidavit And Release Of Claims And Lien Waiver
Discovery Affidavit Template PDF Affidavit Common Law

Affidavit Format

Free Printable Affidavit Template Word Easy Fill Printables For

Georgia United States Sample Subcontractor Affidavit Fill Out Sign

Georgia United States Contractor Affidavit Under O c g a 13 10 91 B
Motion For Default PDF Legal Procedure Judiciaries

Affidavit Sample Template Template Samples