Solve For X Dfrac X 2 2x 1 Dfrac 3 5 X Looking for a method to stay arranged? Free printable schedules are the best service! Whether you require a daily, weekly, or monthly planner, these templates help you simplify tasks, handle your time, and boost productivity. Created for versatility, they're ideal for work, school, or home use. Merely download, print, and start planning your days with ease.
With customizable options, free printable schedules let you customize your strategies to fit your distinct requirements. From vibrant styles to minimalist designs, there's something for everybody. They're not just useful however likewise an affordable method to keep an eye on visits, deadlines, and objectives. Get going today and experience the distinction an efficient schedule can make!
Solve For X Dfrac X 2 2x 1 Dfrac 3 5 X

Solve For X Dfrac X 2 2x 1 Dfrac 3 5 X
Use this FREE Plan of Salvation printable kit for your missionary lessons primary activities and family teaching These illustrations show the steps of Fathers Plan of Salvation... Our fist step in this great plan was our acceptance of our older brotherĀ ...
Plan of Salvation Printable Etsy

How To Solve 2x 2 3x 1 0 By Factoring YouTube
Solve For X Dfrac X 2 2x 1 Dfrac 3 5 XScripture Story Lady (previously "LDS Primary Printables") goal is to provide fresh, fun primary printables that combine gospel-centered education and learningĀ ... This printable is perfect for anyone needing to teach the Plan of Salvation very simply Print out the pages color and assemble
It fits with February's Primary theme: Heavenly Father has a plan for His children. So many uses! You can find the PDF ready-to-print right here. Axis Of Symmetry Definition Formulas Equation Examples What Are The Examples Of Shapes Free Math Worksheet Printable
Lesson 4 The Plan of Salvation Pinterest

Homogeneous Differential Equation Dy dx x 2 Y 2 xy YouTube
Plan of Salvation Printable Diagram Only Instant PDF PNG Download Multiple Sizes Included LDS Come Follow Me Primary Gi i Pt Sau d dfrac x 1 x 2 dfrac x x 2
Feb 16 2020 Explore Blake Janey Malcom s board plan of salvation on Pinterest See more ideas about plan of salvation salvation how to plan 1 Solve X 2x 3 0 Using Completing The Square solution 3points

Is X 2 The Same As 2x YouTube

Solve For X 2 2x 1 x 3 3 x 3 2x 1 5 Brainly in

CLM Supplement

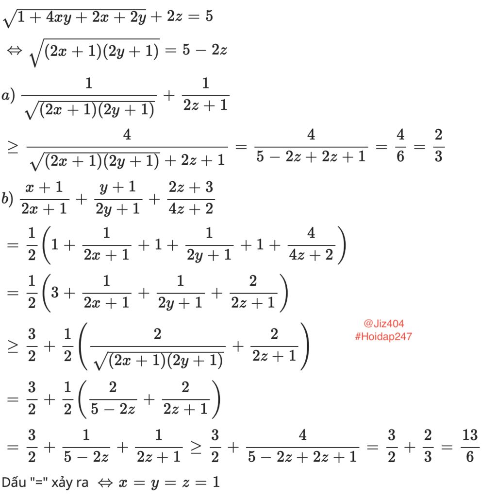
Cho x y z 0 Th a M n sqrt 1 4xy 2x 2y 2z 5 T m GTNN C a P


Calcula El Valor De X Si Se Sabe Que 4x 3x 9 x 2 2x 1

548 Math173

Gi i Pt Sau d dfrac x 1 x 2 dfrac x x 2

GeoGebra

Edge LaTex Mathtype Word Markdown