Log 5 X 2 5x 11 1 Looking for a way to remain arranged? Free printable schedules are the ideal option! Whether you need a daily, weekly, or monthly planner, these templates assist you enhance tasks, handle your time, and increase productivity. Designed for flexibility, they're ideal for work, school, or home use. Just download, print, and begin planning your days with ease.
With customizable options, free printable schedules let you customize your strategies to fit your unique requirements. From colorful styles to minimalist designs, there's something for everybody. They're not only useful but likewise an affordable way to keep track of visits, due dates, and objectives. Begin today and experience the distinction a well-organized schedule can make!
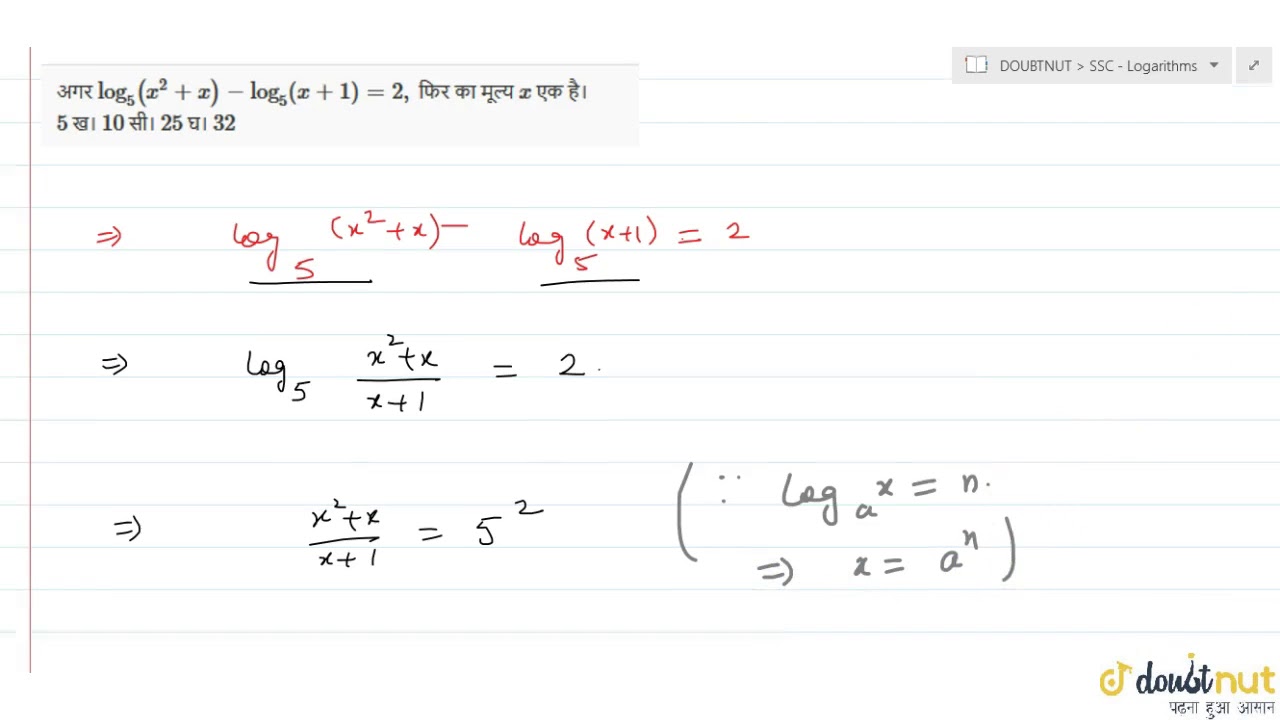
Log 5 X 2 5x 11 1

Log 5 X 2 5x 11 1
Print four sudoku puzzles per page from a large selection of hand designed layouts Choose from five difficulty levels ranging from Easy to Fiendish Each of my books contains a collection of eight sudoku puzzles, 4-per-page, with a page of hints and a page of answers in the back. These booklets are in PDF ...
Print type 4 Sudoku puzzles on each page

Graph The Line Y 5x 2 YouTube
Log 5 X 2 5x 11 1On this page are 100 free sudoku puzzles I made that you can print out right now. There are 4 sudoku puzzles per page. There is a link to the Solutions on ... Free printable sudoku puzzles in a variety of sizes including 4x4 6x6 and difficulty levels from easy to hard For kids and with large print for adults
Here are Free Blank Sudoku grids for you to print out. You can have either totally blank grids or have each square filled with possibilities to help when ... If Log5 x2 X Log 5 x 1 2 Then The Value Of X Is Brainly in Esboce O Grafico Da Fun ao F x 5x 3 Brainly br
Intermediate Sudoku Puzzles by Krazydad 4 per page Volume 4

24 Solve a Log5 x 3 Log5 X Log5 10 YouTube
Each of my books contains a collection of eight sudoku puzzles 4 per page with a page of hints and a page of answers in the back These booklets are in PDF Integral Of sin 5x cos 2x Calculus 2 Trig Integrals YouTube
Creation of six sudokus per A4 page Choose your difficulty level and number of pages Page size Difficulty Number of pages A4 Letter Easy Moderate Hard Log x 5x 2 log 5 x 2 1 2x 1 6x 3 7x 1 0 5 2x 3x 1 6 5x 0 4x 3 2x 7 7x 2 0 3x 2 5x

Integral Of x 1 sqrt x 2 2x 5 substitution YouTube

Logarithmic Equation Log 35 x 3 log 5 x 3 IB Without Calculator

Integral Of Cos 5 x trigonometric Identity Substitution YouTube

Solving For X Quadratic Equations 4 5x 2 6 0 X 4 4x 2 5 IGCSE

If log 5 X 2 Log 5 X Lt 2 Then X Belongs To The Interval YouTube

L m 3x 2 x 2 5x 2 4x 1 Cuando X Tiende A Infinito L MITE De Una

Tutorial Solving Logarithmic Equations Ex 10 Log 2x log x 5 2

Integral Of sin 5x cos 2x Calculus 2 Trig Integrals YouTube

If Y Log 5x Square 3x 2 Then Find Dy By Dx Brainly in

Log5 x 2 7 log0 04 324 log0 2 X log 625 81