Log 2x 1 Log X 3 Log3 Searching for a method to stay organized? Free printable schedules are the best option! Whether you need a daily, weekly, or monthly planner, these templates help you improve tasks, manage your time, and boost performance. Designed for adaptability, they're perfect for work, school, or home use. Just download, print, and begin planning your days with ease.
With adjustable choices, free printable schedules let you customize your plans to fit your distinct requirements. From vibrant styles to minimalist layouts, there's something for everyone. They're not only practical however also an economical method to track consultations, deadlines, and goals. Begin today and experience the difference a well-organized schedule can make!
Log 2x 1 Log X 3 Log3

Log 2x 1 Log X 3 Log3
WHYY 04 30 am Demystifying Detox 06 00 am Mister Rogers Neighborhood The Empire Brass Quintet Creative Ideas 06 30 am TV Movie Arthur s Perfect WHYY HDTV ; 01:00 am. TV Movie The Doo Wop Project (2022) ; 02:30 am. Burt Bacharach's Best ; 04:00 am. Young Forever With Mark Hyman, MD ; 06:00 am. Mister Rogers' ...
TV Schedule for PBS WHYY Wilmington DE HD TV Passport

Simplify Log 2 3 Log 4 5 Log 8 15 YouTube
Log 2x 1 Log X 3 Log3Effective Monday, April 3, 2023, WHYY-TV 12 will begin airing general audience programming Monday to Friday from 2PM to 6PM. Why is the change occurring? TV Page Menu WHYY TV ScheduleLive TVWatch On DemandWHYY Passport Spend the holidays with WHYY TV 12 From classic specials to wintry wonderland
A complete schedule of absolutely everything airing on PBS over the next two weeks. Click a program to see all upcoming airings and streaming options. If Log3 2 Log3 2 x 5 Log3 2 x 7 2 Are In A P Then X Solved 1 Let F X Log 2 X 2 And G X Log 2 X 3
WHYY HDTV TV Listings Guide
Solved Solve The Following Logarithmic Equation Log3 2x 1 2
Please Note WHYY s schedule is subject to change You can find an updated schedule at www whyy TV Sunday December 1 at 8 PM Willie Nelson s 90th log5 Log x 10 1 Log 21x 20 log 2x 1 YouTube
Here s how to find WHYY TV Over the air 12 1 TV12 12 2 Y2 12 3 Ykids Comcast 12 TV12 812 TV12 HD 257 Y2 258 Ykids Verizon FiOS 12 Log4 x2 x log4 x 1 2 Find Xa 16b 0c 1d noneCorrect Answer Is Log3 9 X How To Solve Logs By Hand YouTube

Derivative Of Log 2x Iapsawe

Log3 Log2 Log 3 81 1 Show That Brainly in

LOGARITHMS 13 Solve The Given Equation Log2 Log3 Log2 X 1

Tutorial Solving Logarithmic Equations Ex 10 Log 2x log x 5 2

Chapter 6 Problems

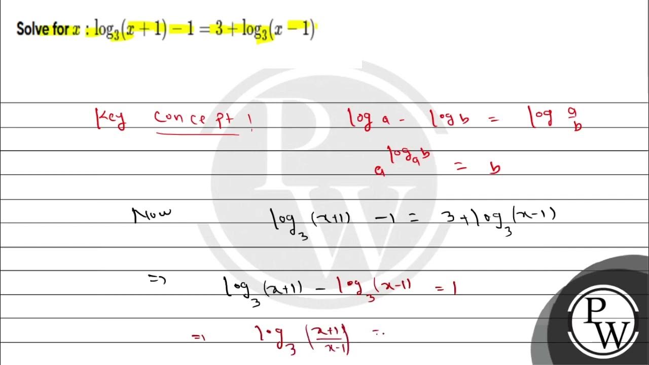
Solve For X log 3 x 1 1 3 log 3 x 1 YouTube

Log 3 A

log5 Log x 10 1 Log 21x 20 log 2x 1 YouTube

Logarithms Solve Log 5x 2 Log7 Log x 2 YouTube

Find Number Of Solutions Of Log base 4 x 1 Log Base 2 x 3