Integral 1 Sqrt X 2 25 Looking for a method to stay arranged? Free printable schedules are the perfect service! Whether you require a daily, weekly, or monthly planner, these templates assist you streamline jobs, handle your time, and enhance efficiency. Created for adaptability, they're perfect for work, school, or home use. Simply download, print, and start planning your days with ease.
With personalized choices, free printable schedules let you tailor your plans to fit your unique requirements. From vibrant designs to minimalist designs, there's something for everybody. They're not only useful but likewise an economical method to monitor visits, deadlines, and objectives. Get going today and experience the distinction an efficient schedule can make!
Integral 1 Sqrt X 2 25

Integral 1 Sqrt X 2 25
Free printable multiplication charts times tables available in PDF format These colorful charts can be downloaded and printed for use at home or school These free, printable multiplication charts will help support your students as they learn multiplication facts. Both blank and filled charts are included.
Free Multiplication Charts and Worksheets Printable Color B W

Integral Of 1 sqrt 16 X 2 YouTube
Integral 1 Sqrt X 2 25Free printable multiplication chart for numbers 1-12 covering math facts up to 144. Students can use this simple multiplication table chart as a reference tool ... Basic multiplication charts in various sizes with products from 1 81 1 100 or 1 144 High resolution printable SVG files perfect for
Featuring multiplication tables from one to 12 and colors that pop, this free multiplication chart is the perfect math resource for children to reference. Trigonometric Substitution The Integral Of X 2 sqrt 2x x 2 YouTube Integral Of Sqrt x 2 25 By Trigonometric Substitution Integration
Multiplication chart printable TPT

Integral Of 1 sqrt 25 x 2 YouTube
Instantly use these free printable multiplication charts Choose from a coloring page style fill in the blank or a pre colored and filled version Integral Of Sqrt x Integral Example YouTube
Multiplication Facts Chart Blank 0 12 Print out this empty multiplication fact sheet that ranges from 0 through 12 3rd through 5th Grades View PDF Solving Sqrt 1 sqrt x X 1in Two Ways YouTube Integral Of Sqrt cos x Elliptic Integral Sqrt cosx Integration

Integral Of 1 sqrt 4x x 2 Featuring BriTheMathGuy YouTube

Integrate Sqrt 16x 2 25 x 4 Using Trigonometric Substitution YouTube

Class 12th Integral Of 1 sqrt 9 25 X 2 Dx Integrals Tutorials

Evaluate The Definite Integral Over 0 1 R 3 sqrt 4 R 2 Dr

Integral Of 1 e x YouTube

sqrt x X dy dx Sqrt y Y Separable Differential Equation YouTube

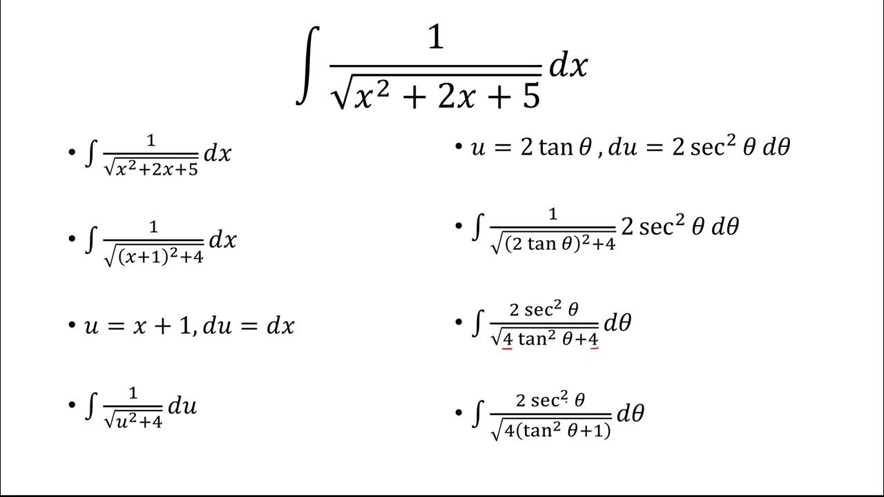
Integral 1 sqrt x 2 2x 5 Using Trig Substitution YouTube

Integral Of Sqrt x Integral Example YouTube

Integration Of 1 sqrt a 2 x 2 dx Shortcut YouTube

Double Integration Integral Of Xy sqrt x 2 Y 2 Dy Dx Y 0 To 1