Find The General Solution Of X 3y 2 Dy Dx Y Searching for a method to remain organized? Free printable schedules are the perfect solution! Whether you need a daily, weekly, or monthly planner, these templates help you improve jobs, manage your time, and boost efficiency. Designed for flexibility, they're ideal for work, school, or home use. Simply download, print, and begin preparing your days with ease.
With personalized choices, free printable schedules let you customize your strategies to fit your unique needs. From vibrant styles to minimalist layouts, there's something for everyone. They're not only practical but also an economical way to track visits, due dates, and goals. Start today and experience the difference an efficient schedule can make!
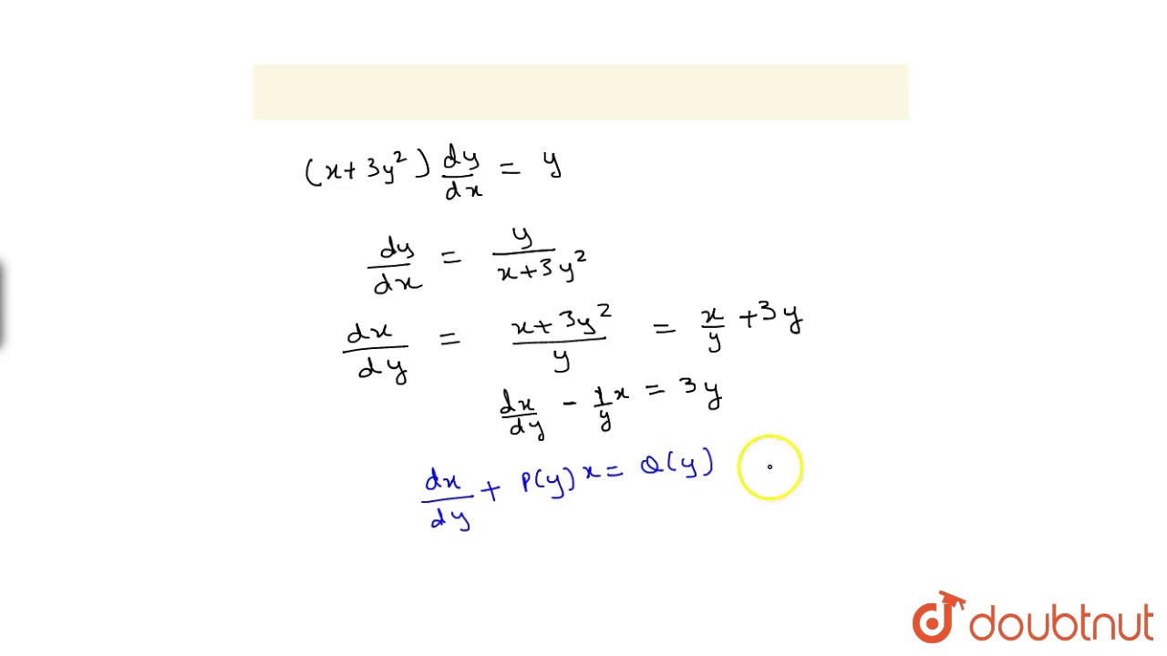
Find The General Solution Of X 3y 2 Dy Dx Y

Find The General Solution Of X 3y 2 Dy Dx Y
A simple 1 page lease agreement is a straightforward contract a landlord uses when renting residential property Create these rental/lease agreement forms: standard residential, basic room rental, month-to-month, short-term, sublease, and commercial.
RENTAL AGREEMENT MONTH TO MONTH Date

Solve x 3y 2 dy dx y ygt0 YouTube
Find The General Solution Of X 3y 2 Dy Dx YLEASE TERM: This Agreement shall be a fixed-period arrangement beginning on ______. and ending on. , hereinafter referred to as the “Lease. Term,” with the ... How to Lease Residential PropertyStep 1 Market Your Rental PropertyStep 2 Showing the UnitStep 3 Providing Rental Applications
TERM: This lease shall commence on the ______day of ______,. 20____ and shall expire on the last day of ______, 20____ (the. “Expiration”). RENT: The total rent ... Example 4 i Find Two Solutions For Equation 4x 3y 12 Example 11 Find Particular Solution Dy dx 4xy2 Examples
Free Rental Lease Agreement Templates PDF Word

Solve 1 x 2 D 2y Dx 2 X Dy Dx Y X 1 x 2 3 2
CONDITIONS A The rent for the property is per month The tenant must pay the rent on the day of the month and deliver it to the LANDLORD at Solved For The Following System Find The Equilibria And Chegg
Edit your lease agreement form online Type text complete fillable fields insert images highlight or blackout data for discretion add comments and more 7 Solve The Given Differential Equations General Solution Initial General Solution Of Differential Equation y 3y e x Mathematics

Solve X 2 D 2y Dx 2 2x Dy Dx 4y X 2 2log X MATHEMATICS 2

Show Slove Differential Equation y 2e xy 2 4x 3 dx 2xye xy 2 3y 2 dy

X y 1 dx Y x 1 dy 0find The General Solution Of The Differential

Ex 9 5 12 Find General Solution x 3y2 Dy dx Y Solving Linear

Ex 9 5 12 Find General Solution x 3y2 Dy dx Y Solving Linear

Ex 9 5 12 Find General Solution x 3y2 Dy dx Y Solving Linear

SOLVED Text Xyy Y 2x j 2xy Y Y 2 i k Jdx xdy 0 22 I
Solved For The Following System Find The Equilibria And Chegg

Solutions Of Differential Equations

MCQ The General Solution Of Differential Equation Y Dx X Dy 0 Is