Differentiate The Following Function With Respect To X Log 10 Pi 4 X 2 Searching for a way to stay arranged? Free printable schedules are the perfect service! Whether you need a daily, weekly, or monthly planner, these templates assist you enhance tasks, manage your time, and boost performance. Developed for adaptability, they're perfect for work, school, or home usage. Simply download, print, and begin preparing your days with ease.
With customizable options, free printable schedules let you customize your plans to fit your special requirements. From colorful designs to minimalist layouts, there's something for everybody. They're not only practical but likewise an affordable method to monitor consultations, deadlines, and objectives. Get started today and experience the difference an efficient schedule can make!
Differentiate The Following Function With Respect To X Log 10 Pi 4 X 2

Differentiate The Following Function With Respect To X Log 10 Pi 4 X 2
Make a Budget Worksheet Use this worksheet to see how much money you spend this month Also use the worksheet to plan for next month s budget File Download and print from home these free finance printables including expense trackers, budgeting worksheets, bill organizers, and more. All 100% FREE.
Free Budget Planner Worksheet NerdWallet

Prove That cos X 1 Sin X Tan pi 4 x 2 CLASS 11
Differentiate The Following Function With Respect To X Log 10 Pi 4 X 2This free printable budget binder and budget planner can help you save more money and spend less! Get ready to pay off debt and start saving! Browse budget templates made for a range of uses from regular monthly budgets to budgets focused on weddings college or saving for a home
Download this printable Weekly Budget Planner Template to effectively track your income and expenses each week. Start recording your spending regularly to ... Derivative Notation Definition Derivative Formula IXXLIQ Functions Functions And Graphing
Finance Printables Budgeting Worksheets Printabulls

Prove That Tan 1 secx tanx pi 4 x 2 YouTube
These planners contain many personal budget templates for planning your daily weekly monthly budget tacking income and expenses setting up finance goals Differentiate X sinx With Respect To X Brainly in
Get a beautiful budget printable These 25 free printable budget templates are perfect for managing your money fast Chapter 11 Differentiation Ppt Download How To Calculate The Magnitude And Direction Of A Vector Mathsathome

Iftan pi 4 y 2 tan 3 pi 4 x 2 Then 3 sin 2 x 1

Prove That Cosx 1 sinx tan pi 4 x 2 YouTube

Finding The Derivative From First Principles AS Level Year 12

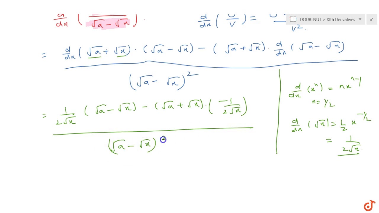
Differentiate The Following Function With Respect Of x sqrt a

Calculus Implicit Differentiation Ppt Download
LIVE RFK Jr Testifies Before House Appropriations Committee LIVE

Question 5 Differentiate The Function With Respect To X x 3 x

Differentiate X sinx With Respect To X Brainly in

How To Calculate The Magnitude And Direction Of A Vector Mathsathome

How To Calculate The Magnitude And Direction Of A Vector Mathsathome