4x 2 Y 2 3z 24 36xy Z 8 Looking for a method to stay organized? Free printable schedules are the perfect service! Whether you need a daily, weekly, or monthly planner, these templates help you improve jobs, handle your time, and increase efficiency. Created for flexibility, they're perfect for work, school, or home use. Merely download, print, and start preparing your days with ease.
With customizable choices, free printable schedules let you tailor your strategies to fit your special needs. From colorful styles to minimalist layouts, there's something for everybody. They're not only useful but also a budget-friendly method to keep track of appointments, due dates, and goals. Start today and experience the difference a well-organized schedule can make!
4x 2 Y 2 3z 24 36xy Z 8

4x 2 Y 2 3z 24 36xy Z 8
The best selection of Royalty Free Tattoo Stencil Vector Art Graphics and Stock Illustrations Download 14000 Royalty Free Tattoo Stencil Vector Images Each stencil can be reused 5–6 times! Download stencil sheet of choice to your phone or desktop. Print on plain paper from a LASER printer (not inkjet). Cut ...
Printable Beginner Tattoo Stencils Tattooing 101

X 5y 4z 3 1 2x 2y 3z 4 2 4x 2y Z 9 3
4x 2 Y 2 3z 24 36xy Z 8Browse 11,800+ tattoo stencil stock photos and images available, or search for tattoo drawing or transfer paper to find more great stock photos and pictures. Find Download the most popular Tattoo Stencil Vectors on Freepik Free for commercial use High Quality Images Made for Creative Projects
Best advice is print out your design, one thing ive done is grab a NEW glue stick (NON-TOXIC AND SKIN SAFE) and sharpie and design/stencil. If F 2x 2 3z I Cap 2xy J Cap 4x K Cap Then Evaluate Triple 1 2x 3y 4z 6 5x 3y Z 11 Z 1 3 2x Y Chegg
Download Our Free Temporary Tattoo Stencils Earth Henna

Subtract 3x 2x 2 5y 3z 2y 3x 5y 2 Z From 4x 3x 2 2y
Check out our tattoo stencil selection for the very best in unique or custom handmade pieces from our tattooing shops Using Matrices Solve The Following System Of Equations 2x 3y 3z
Clipart library offers about 75 high quality Printable Tattoo Stencils for free Download Printable Tattoo Stencils and use any clip art Factorise 4x 2 36xy 81y 2 Brainly in Solve X Y 3z 5 4x 2y Z 0 x 3y Z 5 By Using Gauss

Solve 2x 2y 5z 3w 0 4x y z w 0 3x 2y 3z 4w 0 X 3y 7y 6w 0
Solved Solve X y z 10 X y 3z 4 4x y z 25 Math

Evaluate The Triple Integral 3z DV Where E Is Bounded By The Cylinder

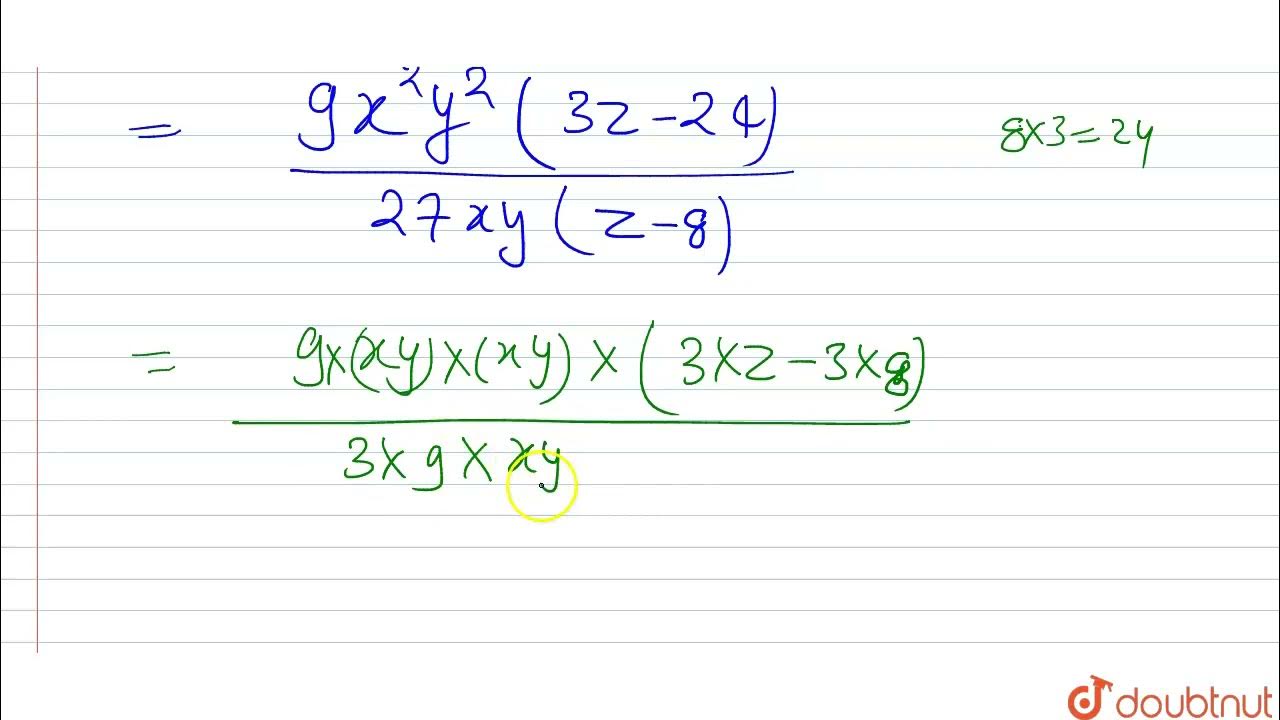
Simplify 4xy 3z 24 36xy z 8 Brainly in

X 2y 3z 2 X 4y Z 1 4 x Y Z 0 5 Brainly lat

Guass Method 10x 7y 3z 5u 6 6x 8y z 4u 5 3x y 4z 11u 2 5x 9y

Rational Expressions Simplify 5x 2 36xy 7y 2 x 2 49y 2 YouTube

Using Matrices Solve The Following System Of Equations 2x 3y 3z

Solved Consider The Function F x Y Z 2x 2 Y 2 3z 2 Chegg

Solved Find The Gradient Field Of The Function F x Y Z Chegg