3 X 4 6x 2 Searching for a method to remain arranged? Free printable schedules are the ideal service! Whether you require a daily, weekly, or monthly planner, these templates assist you improve tasks, handle your time, and improve efficiency. Created for versatility, they're ideal for work, school, or home use. Merely download, print, and begin preparing your days with ease.
With personalized alternatives, free printable schedules let you customize your strategies to fit your special needs. From vibrant styles to minimalist layouts, there's something for everybody. They're not just useful however likewise an economical way to keep track of visits, due dates, and objectives. Start today and experience the distinction an efficient schedule can make!
3 X 4 6x 2

3 X 4 6x 2
Elevate any event with these elegant place card ideas and designs Create custom place cards using free templates from Canva Fedex, Staples, local print shops can all do this, especially if you're willing to cut them apart yourself. Otherwise, most web printers have a ...
Easy to Print DIY Place Cards for Weddings Events LCI Paper

P x 3x 4 6x 2 8x 2 P 2 CLASS 12 WEB QUESTIONS MATHS
3 X 4 6x 2Browse and create printable wedding place cards at Walgreens. Choose from a variety of designs. Same day pickup is offered at select locations. Avery Printable Place Cards with Sure Feed Technology 1 7 16 x 3 3 4 White with Gold Border 150 Blank Tent Cards for Laser or Inkjet Printers
Personalize your wedding place cards in minutes at VistaPrint. These table name cards ... We don't print individual guest names and table numbers for now. Just ... By Long Division Method Find Remainder When Polynomial 4x 4 6x 3 6x 2 1 1 1 X 2 x 7 0 2 X 4 5x 2 6 0 3 7x
Where do I print place cards r weddingplanning Reddit

Solve The Equation 6x 6 25x 5 31x 4 31x 2 25x 6 0 Class 12 MATH
150 pack of Avery 5011 printable 1 7 16 x 3 3 4 place cards Made from premium textured white cardstock each sheet features a series of ultra fine cuts Solving Absolute Value Equations Inequalities Ppt Download
A fast easy and free printable place card maker for weddings events and anything else Create beautiful no hassle printable place cards in minutes Is x 2 1 4 x 4 6x 2 1 2 16 x 3 X 2 In An Identity Lim x 4 6x 2 4x 5 Brainly lat

Find A And B If 2x 2 5 Is Factor Of 6x 4 8x 3 5x 2 ax b CBSE 10 MHF4U

Find Slope And Y Intercept Of 6x 2y 8 And Then Draw The Graph YouTube

How To Solve 6x 2 25x 25 6x 5 By Long Division YouTube

Estudo Da Concavidade E Dos Pontos De Inflex o De F x x 4 6x 2

Alpha And Beta Are Zeros Of The Quadratic Polynomial X2 6x a Find The

Solving And Graphing Solution Of Equation X 4 6x 2 25 0 YouTube

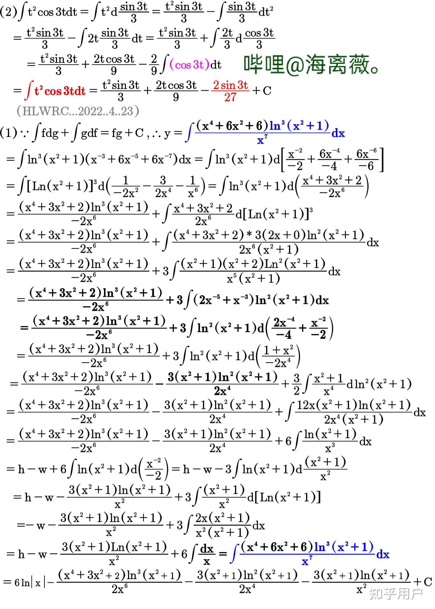
x 4 6x 2 6 x 7 ln x 1 dx

Solving Absolute Value Equations Inequalities Ppt Download

Tema Utiliza La Formula Cuadratica Para Resolver La Ecuacion A X

Rozwi R wnanie X 4 6x 2 5 0 Brainly pl