11 2 7 2 X 3 5 Trying to find a way to remain organized? Free printable schedules are the best service! Whether you need a daily, weekly, or monthly planner, these templates assist you streamline jobs, handle your time, and improve performance. Created for adaptability, they're perfect for work, school, or home usage. Simply download, print, and start planning your days with ease.
With customizable choices, free printable schedules let you tailor your strategies to fit your unique needs. From colorful designs to minimalist layouts, there's something for everybody. They're not just practical but likewise an affordable way to monitor consultations, deadlines, and objectives. Begin today and experience the difference a well-organized schedule can make!
11 2 7 2 X 3 5

11 2 7 2 X 3 5
Printable templates of fish are found in this section Color a page cut paste your own fishbowl activity and design an underwater scene with these adorable Use this simple printable fish craft template to create a unique cut-and-paste art project worthy of a bulletin-board or ...
Free printable fish outline templates 18 PDFs ESL Vault

Find The Zeroes Of The Quadratic Polynomial 7y2 11 3 Y 2 3 And Verify
11 2 7 2 X 3 5Below you'll find 15 printable pages with various fish outlines on them. And they're all free for you to download and print! What to do with these fish ... Below you ll find 15 printable pages with various fish outlines on them And they re all free for you to download and print
We have 8 different fish templates to choose from! It's simple to print out these free templates to use for all of your coloring and crafting needs! 1 39 7 x 1 60 4 7 2 x 3 11 7 21 5 x 4 11 10 96 3 x 1 42 13 THE QUIET ESCAPE COLLECTION Shivangi Verma
Fish template TPT

Sprunky Create Unique Musical Mixes
Download our free printable fish template with ideas for crafts you can do at home in your classroom or preschool Mairaki Series ACE Buildings
Below you ll find 15 printable pages with various fish outlines on them And they re all free for you to download and print What to do with Hotel Floor Plans Importance And Benefits 2D 3D Plans Hotel Interactive Games Factory Customized Inflatables Bouncy Castles Games

x 4 2 X 3 X5 X 5 11 X11

Primorial Number Definition Illustrated Mathematics Dictionary

7 1 4

Pools IGUi

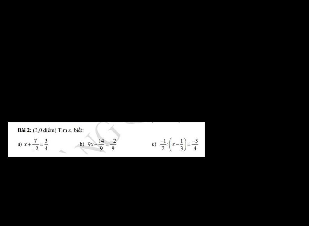
B i 2 3 0 i m Tim X Bi t 7 3 A X 2 4 B 9x 14 9 2 9 C

The Product Of A Fraction With The Sum Of 5 1 3 And 6 1 3 Is 3 What Is

2 If x 2 x 3 x 2 x 3 5 Find The Value Of X Brainly in

Mairaki Series ACE Buildings
Philippine 2025 PBA Philippine Cup Team Standings As Of June 1 2025

Need Na Po Now