10 4i 4 5i 15 20i Looking for a way to remain arranged? Free printable schedules are the ideal solution! Whether you need a daily, weekly, or monthly planner, these templates assist you simplify jobs, manage your time, and improve performance. Developed for flexibility, they're ideal for work, school, or home use. Simply download, print, and begin preparing your days with ease.
With customizable alternatives, free printable schedules let you customize your strategies to fit your unique needs. From vibrant designs to minimalist layouts, there's something for everybody. They're not only useful however also an affordable way to keep an eye on visits, deadlines, and objectives. Start today and experience the distinction an efficient schedule can make!
10 4i 4 5i 15 20i

10 4i 4 5i 15 20i
TV Listings for Nashville TNOver the Air TV ListingsCable TV ListingsSatellite TV ListingsOther TV Listings fubo Nashville Area TN Nashville, TN - TV ScheduleCH 2.1. Who Wants to Be a Millionaire. New5:00 PM - 6:00 PMCH 2.2. Scorpion. 5:00 PM - 6:00 PMCH 2.3. Targeted for Murder. 5:00 ...
Nashville Tennessee TV Guide TV Listings TV Schedule

If A 1 2i 2 3i 3 4i 4 5i 5 6i 6 7i 8 7 8i 9 Find Conjugate Transpose
10 4i 4 5i 15 20iBrowse TV Guide's listings. Get the channel and sports schedule in Nashville. Choose your local provider for cable, satellite, and antenna to see what's on ... News Ch 5 Intermedia 5 12 Taste of the Town 6 00 pm Out of the Blue 6 30 pm Inside Politics Nashville 7 00 pm Urban Outlook 7 30 pm
3:00 pm. TV Sport NFL Football. New England Patriots at Buffalo Bills ; 6:30 pm. New 60 Minutes. The Pager Plot; The Iron River; Joy To The World - Season 57, ... Legion 5 Pro 2025 I9 Otis G Hawkins Funda Protectora De Silicona Con Dibujos Animados Para Huawei Freebuds
Nashville TN TV Schedule TV Guide

Z 3 4i Complex Number To Polar Form YouTube
Nashville TN TV ScheduleCH 5 1 PBS News Hour New4 00 PM 5 00 PMCH 5 2 The Key Ingredient With Sheri Castle 4 00 PM 4 30 PMCH 5 3 Lyla in Multiplicac s DeNumeros Complejos 4 2i 2 i 5 3i 7 6i 3 4i 3
Find today s TV Guide Listings for Nashville Tennessee 37215 See what s playing on your local Nashville channels with our broadcast TV listings Legion Pro 5 16IRX8 1 Determine O Valor De 2 2i 4 4i Brainly br

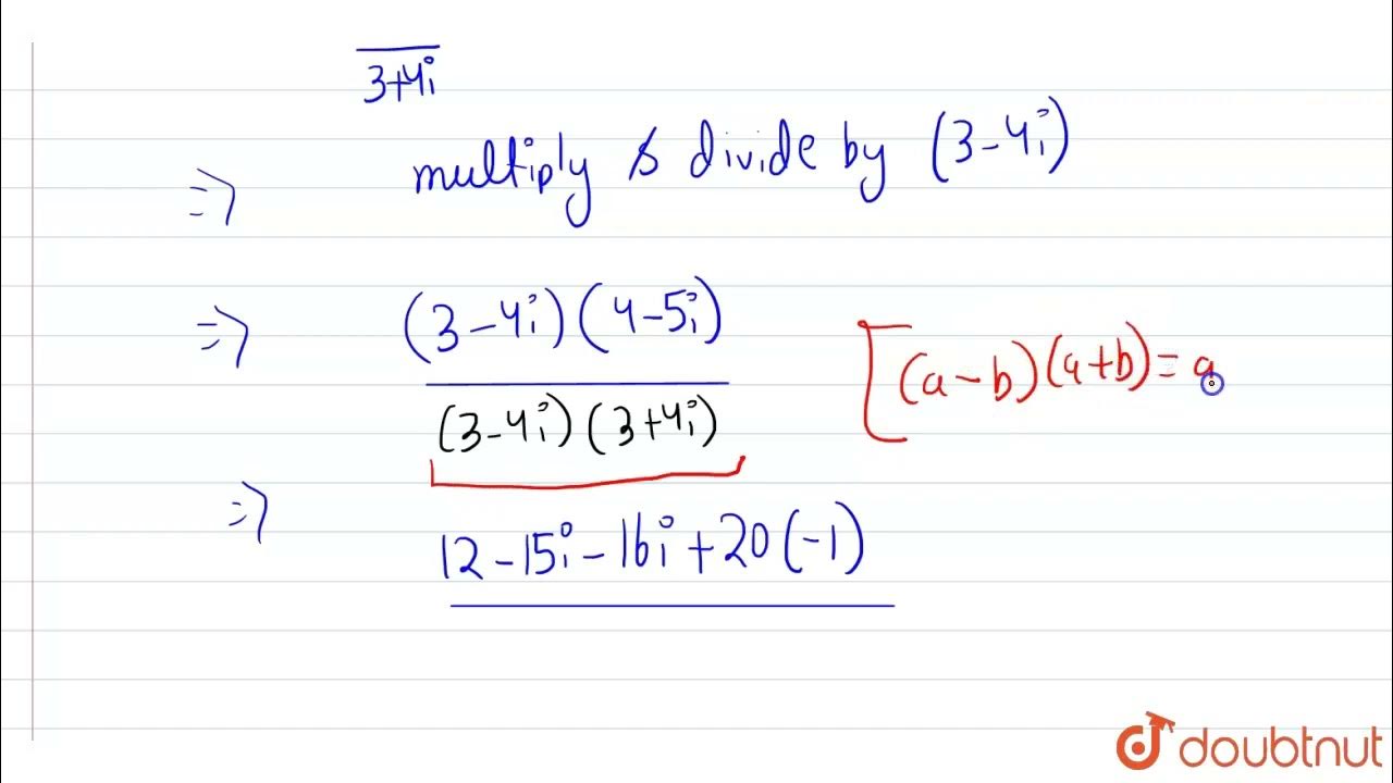
Find The Multiplicative Inverse Of 3 4i 4 5i 11 COMPLEX NUMBERS

The Modulus Of 1 i 3 i 4i 5 Is Brainly in

I Need Help With Question Brainly

Dados Los N meros Complejos Z1 2 3i Z2 4 5i Cu l Es El Cociente

Resolver Las Siguientes Operaciones Dados Z1 3 4i Z2 5 2i

Find The Modulus Of Complex No 3 4i 4 5i 4 3i 6 7i Brainly in

Find The Modulus Of Complex No 3 4i 4 5i 4 3i 6 7i Brainly in

Multiplicac s DeNumeros Complejos 4 2i 2 i 5 3i 7 6i 3 4i 3

1 Considerando Los N meros Complejos Z 2 I Yw 10 4i

Huawei FreeBuds 5i Bleu Devis Gratuit Garantie 3 Ans LDLC pro