1 3x 5x 2 7x 3 Upto N Terms Trying to find a method to stay organized? Free printable schedules are the ideal option! Whether you need a daily, weekly, or monthly planner, these templates assist you enhance jobs, manage your time, and improve efficiency. Created for adaptability, they're ideal for work, school, or home usage. Merely download, print, and start planning your days with ease.
With adjustable options, free printable schedules let you tailor your strategies to fit your special requirements. From colorful designs to minimalist designs, there's something for everyone. They're not just useful however likewise a budget-friendly method to keep track of consultations, due dates, and objectives. Get going today and experience the distinction an efficient schedule can make!
1 3x 5x 2 7x 3 Upto N Terms

1 3x 5x 2 7x 3 Upto N Terms
These beautifully detailed mandala coloring pages are tons of fun for adults and older children Adult coloring pages are a great stress reliever All of the coloring pages displayed on this page are free for personal use. You have our express permission to download, print, color, and enjoy these pages.
Thingiverse Digital Designs for Physical Objects

C Program To Compute Sum Of N Terms Of SERIES 1 1 2 1 3 1 4
1 3x 5x 2 7x 3 Upto N TermsThese free printable 3D bug coloring pages make for a fun and unique insect coloring sheet experience. Print them out, cut out the pieces and color! Drawinghow to drawWith hands and feetothersfor partycarnival 3D CHRISTMAS WINTER 10 COLORING
Pinshape is a thriving 3D printing community & marketplace full of quality 3D printable files. Sell & share your designs, or download 3D files to print now! 2x y 5 0 And 3x 2y 4 0 Find X And Y In Substitution Method And 2x 1 6x 3 7x 1 0 5 2x 3x 1 6 5x 0 4x 3 2x 7 7x 2 0 3x 2 5x
3d Geometric Design Coloring Pages Free Printable

Simplify 3x 2 2x 3 5x 3 x 1 YouTube
Find Download the most popular 3d Coloring Pages Vectors on Freepik Free for commercial use High Quality Images Made for Creative Projects Find The Sum Of 1 1 n 1 2 n 1 3 n upto n Terms a n 2 b n
Community site for 3D printer users Discover thousands of great printable 3D models download them for free and read interesting articles about 3D Expand E x Log 1 Y In Powers Of X And Y Upto Terms Of Third Degree Find The Sum To Infinity Of The Series 1 3 2 5 2 2 7 2 3 oo

Factorise i 12 X 2 7x 1 ii 2x 2 7x 3 iii 6x 2 5x 6 iv 3x

How To Solve 2x 2 3x 1 0 By Factoring YouTube

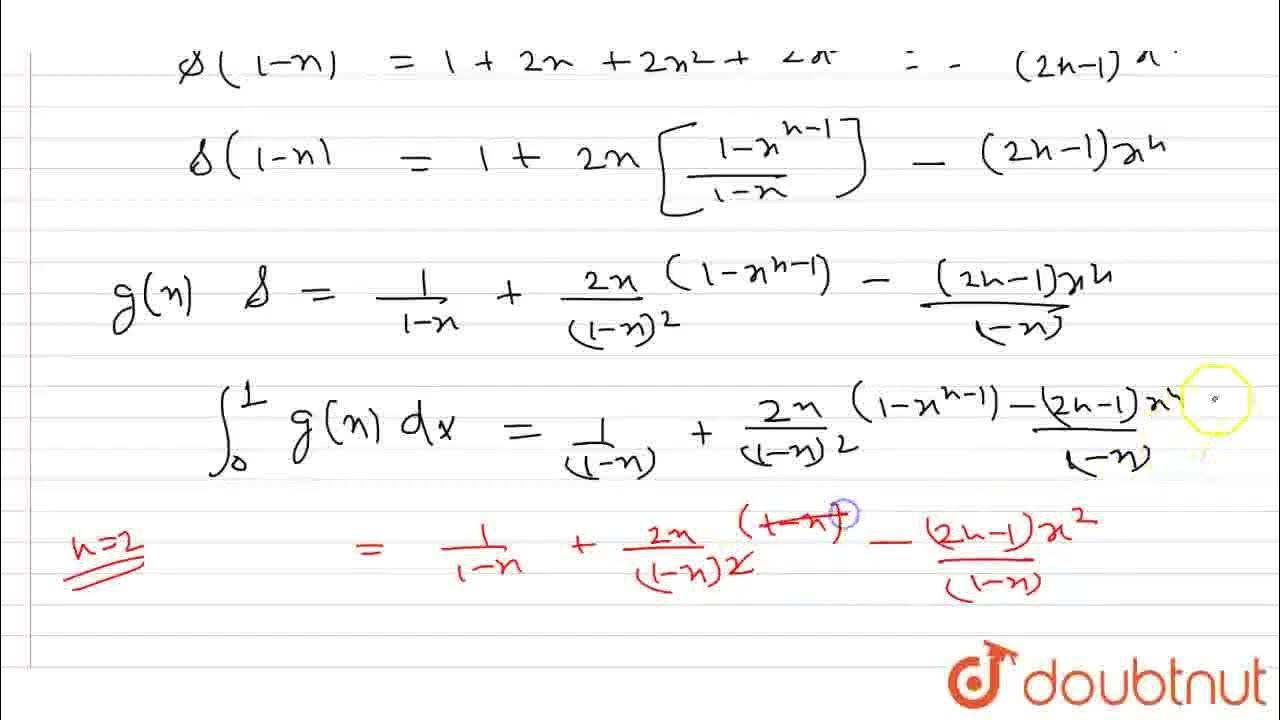
If G x 1 3x 5x 2 7x 3 To N Terms Then Find Int 0 1 G x dx CLASS

Find The Sum To Ininity Of The Series 1 3x 5x 2 7x 3 Oo When Ix

5x 2 7x 3 7x 5x 1 1 0 YouTube

Find The Zeroes Of The Quadratic Polynomial X2 7x 10 And Verify The

Limit Of 5x 2 3x 7x 2 1 As X Approaches Infinity Using L

Find The Sum Of 1 1 n 1 2 n 1 3 n upto n Terms a n 2 b n

Factorise 6x 2 7x 3 Brainly in

F x 5x GeoGebra